Bạn có thể chuyển sang phiên bản mobile rút gọn của Tri thức trực tuyến nếu mạng chậm. Đóng

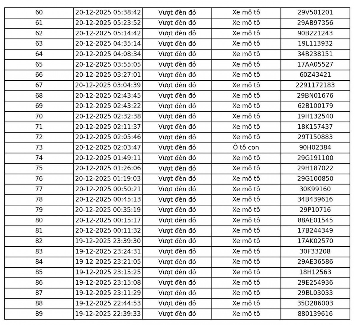
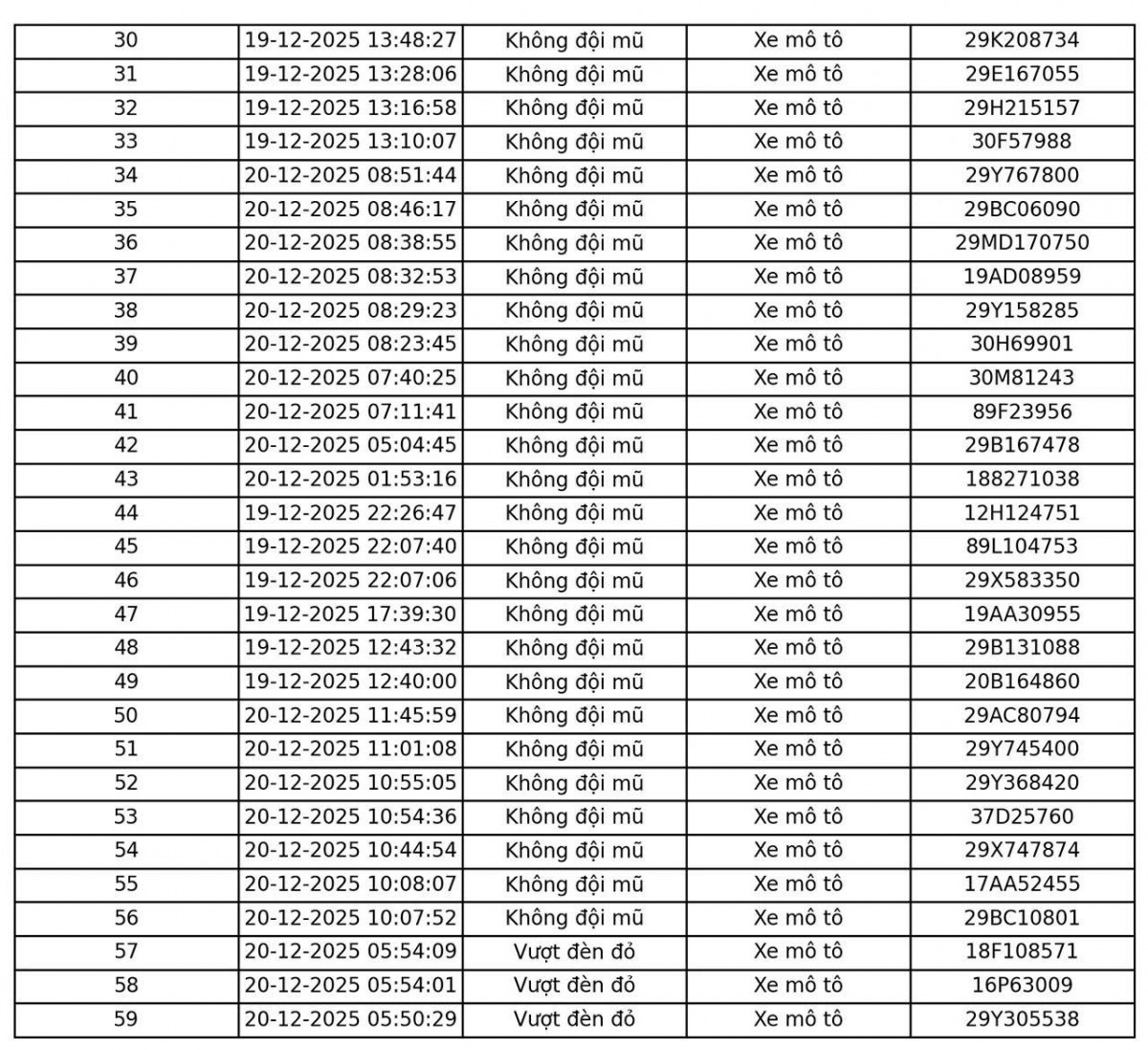
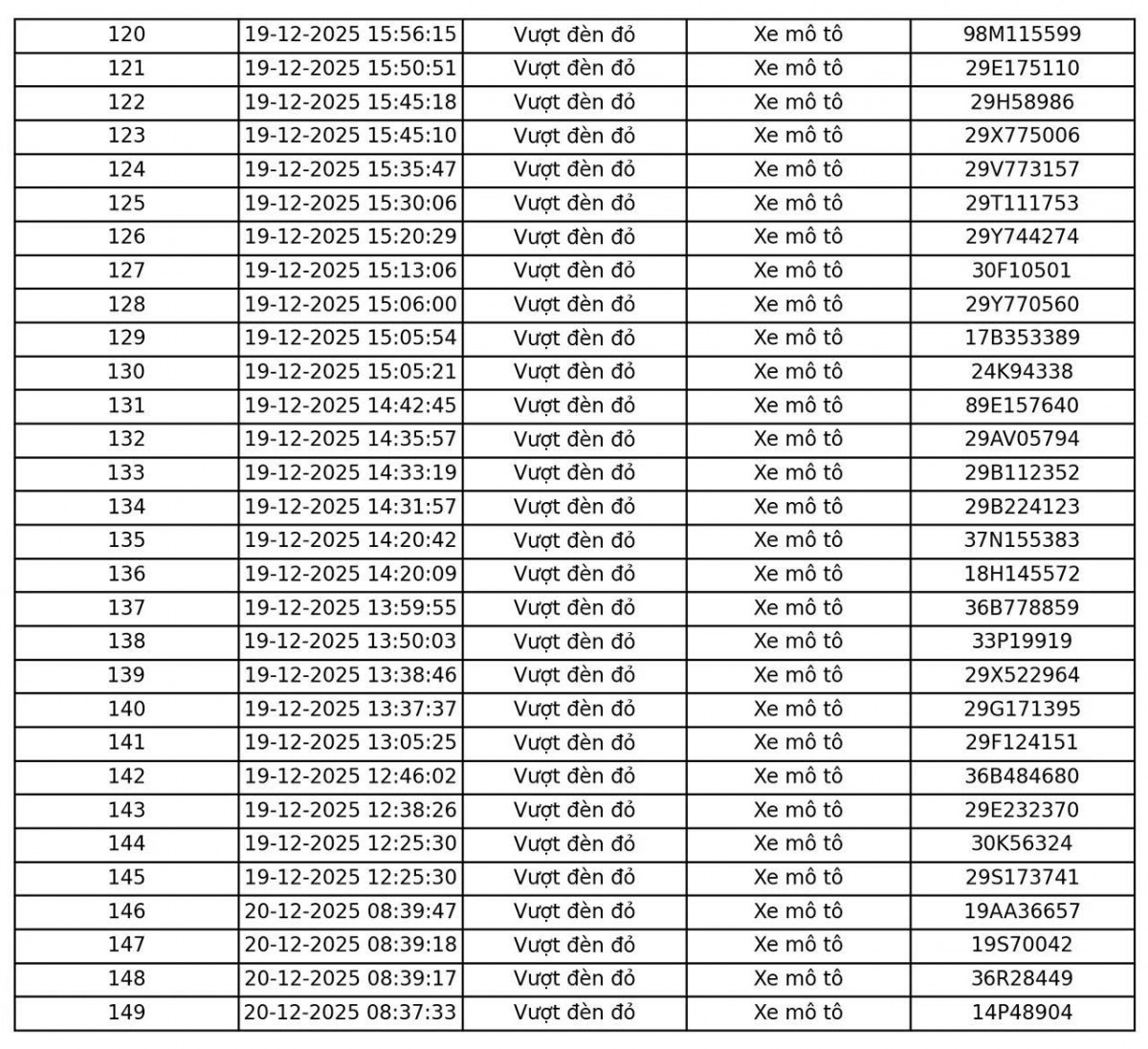
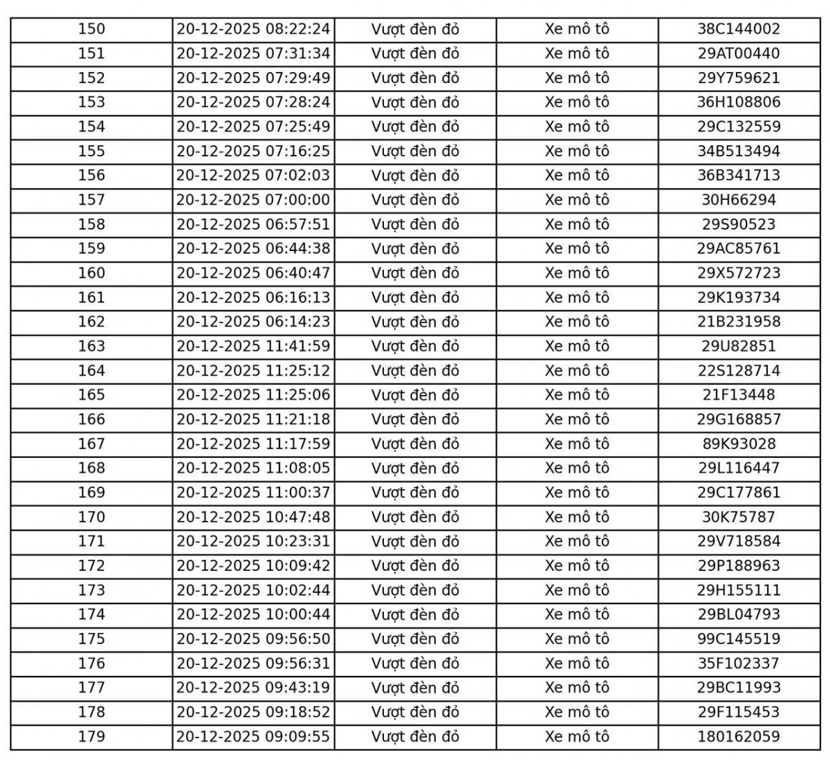
Danh sách 180 xe vi phạm bị Camera AI ghi hình ngày 20/12

Theo thống kê của Cục CSGT (Bộ Công an), chỉ trong 24 giờ, camera AI tại ngã tư Phạm Văn Bạch - Hoàng Quán Chi (Hà Nội) đã ghi nhận 123 xe máy vượt đèn đỏ.

Ngày 21/12, đại diện Cục CSGT (Bộ Công an) công bố danh sách ôtô, xe máy vi phạm Luật Trật tự, an toàn giao thông đường bộ được camera AI phát hiện.

camera AI anh 1

Camera AI ghi hình trường hợp vi phạm giao thông

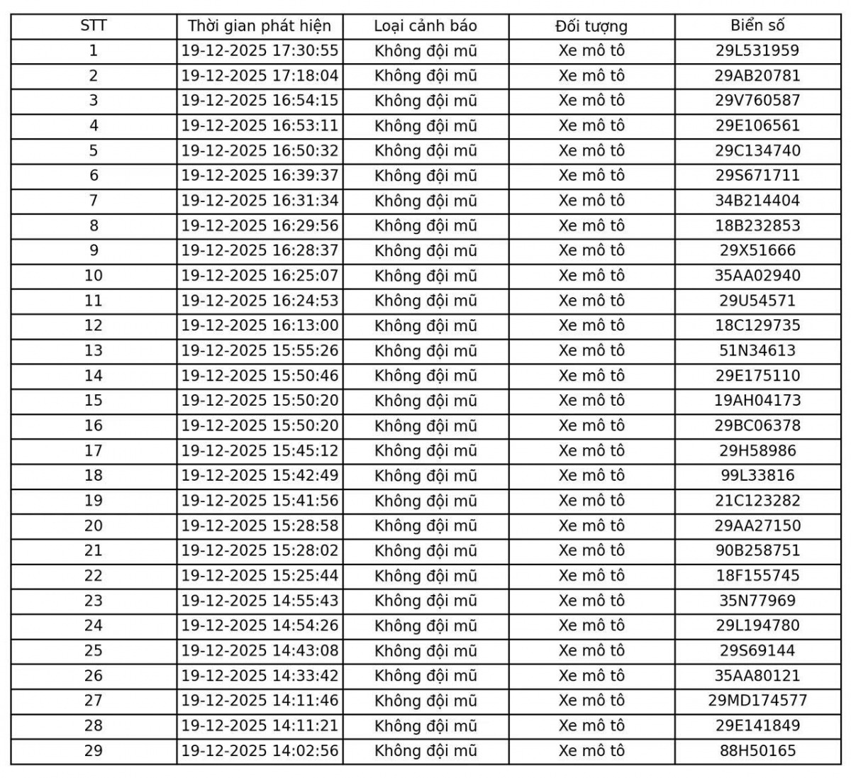
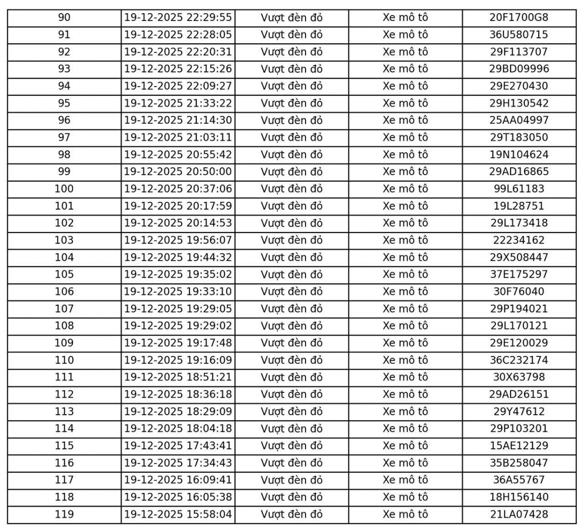
Theo đó, từ 12h ngày 19/12 đến 12h ngày 20/12, camera AI lắp đặt tại ngã tư Phạm Văn Bạch - Hoàng Quán Chi (Hà Nội) ghi nhận 123 trường hợp xe máy vượt đèn đỏ. Cùng thời điểm, hệ thống này cũng phát hiện 56 trường hợp người điều khiển xe máy không đội mũ bảo hiểm.

Cùng thời gian trên, camera AI trên đường Lê Văn Lương (Hà Nội) phát hiện hai trường hợp đi sai làn đường.

camera AI anh 2

Camera AI ghi hình trường hợp vi phạm giao thông

Đại diện Cục CSGT cho biết, danh sách các trường hợp vi phạm đã được chuyển cho Công an Hà Nội để xử lý theo quy định.

Tại nút Km 20 cao tốc Nội Bài - Lào Cai, camera AI ghi nhận 15.376 ôtô lưu thông trong khoảng thời gian này, trong đó phát hiện một trường hợp tài xế không thắt dây đai an toàn.

camera AI anh 3

Danh sách xe vi phạm giao thông bị Camera AI ghi hình ngày 20/12

camera AI anh 4

camera AI anh 5

camera AI anh 6

camera AI anh 7

camera AI anh 8

camera AI anh 9

camera AI anh 10

Tủ sách Xã hội giới thiệu những cuốn sách hay và mới về các chủ đề từ thời sự, chính trị, đến giao thông, hạ tầng... Tủ sách đồng thời cung cấp nhiều kiến thức, dữ liệu để độc giả hiểu nhiều lĩnh vực khác nhau của đời sống xã hội.

Camera AI 'soi' đến tận cổng trường, phát hiện nhiều học sinh vi phạm giao thông

Qua tuần tra kiểm soát và sử dụng hệ thống camera AI, lực lượng CSGT Hà Nội phát hiện nhiều học sinh vi phạm giao thông tại khu vực các cổng trường học.

Lắp đặt nhiều camera AI, lực lượng CSGT sẽ làm nhiệm vụ gì?

Dù hệ thống camera AI ngày càng được lắp đặt rộng khắp và đảm nhiệm hiệu quả việc giám sát, phát hiện vi phạm, xử phạt nguội, nhưng lực lượng CSGT vẫn giữ vai trò trung tâm, không thể thay thế.

Camera AI có phạt nguội người 'đi bão' mừng U22 Việt Nam vô địch?

Đêm 18/12, sau khi U22 Việt Nam xuất sắc giành Huy chương Vàng SEA Games 33, người dân tại nhiều địa phương, đặc biệt là khu vực trung tâm Hà Nội, đã đổ ra đường ăn mừng chiến thắng.

https://vov.vn/xa-hoi/danh-sach-180-xe-vi-pham-bi-camera-ai-ghi-hinh-ngay-2012-post1255616.vov

PV/VOV Giao Thông

Bạn có thể quan tâm