Natural News mới đây tiết lộ một bí mật về việc Mỹ đang âm thầm phát triển một chương trình vũ khí mang tên HAARP (High Frequency Active Auroral Research Program, tạm dịch chương trình nghiên cứu hoạt động cực quang cao tần). Đây là một chương trình nghiên cứu khoa học tối mật của Mỹ. Hải quân, Không quân Mỹ, Cơ quan nghiên cứu các dự án quốc phòng tiên tiến DARPA và Đại học Alaska đồng tài trợ chương trình này.
Mục đích của HAARP
Chương trình HAARP bắt đầu được triển khai vào năm 1993. Nhà thầu chính là BAE Systems Advanced Technologies của Anh. Trang web của chương trình viết rõ: “HAARP là một nỗ lực lớn của khoa học nhằm nghiên cứu tính chất, hành vi của tầng điện ly, đặc biệt chú trọng vào khả năng hiểu và sử dụng nó để tăng cường thông tin liên lạc và các hệ thống giám sát trên toàn cầu cho cả mục đích quốc phòng và dân sự”.
![]() |
| Cơ sở nghiên cứu của dự án HAARP nằm ở một khu vực hẻo lánh ở bang Alaska. Nó bao gồm 132 máy phát tần số cao tần. Ảnh: theforbiddenknowledge. |
Mặc dù là chương trình nghiên cứu khoa học nhưng HAARP được liệt vào danh sách “an ninh quốc gia” và hoàn toàn bí mật đối với giới khoa học trong và ngoài nước. Đây là một phần trong kế hoạch phòng thủ “Star War” của Mỹ được triển khai trong những năm 1990.
HAARP sẽ sử dụng các máy phát tín hiệu điện từ cao tần vào tầng điện ly sau đó ghi nhận những thay đổi do quá trình tác động này tạo ra. Tín hiệu sẽ được bắn vào tầng điện ly theo 3 cấp độ khác nhau: tần số cực thấp ULF, tần số cao HF và tần số siêu cao VHF.
Các nhà khoa học nhận thấy rằng, khi bắn các tín hiệu điện từ tần số siêu cao vào tầng điện ly, các nguyên tử ở đây bị ion hóa một cách nhanh chóng. Tại thời điểm này, hiện tượng “sưởi ấm tầng điện ly” xảy ra và làm cho tính chất vật lý của nó bắt đầu thay đổi. Điều này kéo theo sự thay đổi của vùng không khí bên dưới vị trí bị kích thích.
Nhờ những thiết bị công nghệ tiên tiến, các nhà khoa học có thể ghi nhận những thay đổi rất nhỏ ở tầng điện ly khi bị kích thích liên tục hoặc ngắt quảng ở những tần số khác nhau.
Tại sao HAARP có thể tạo ra siêu vũ khí?
Tầng điện ly nằm cách mặt đất từ 70-300 km. Tầng này là quá trình chuyển đổi giữa khí quyển (không khí trên mặt đất) và từ quyển (từ trường của trái đất). Các nhà khoa học trên thế giới nhận thấy, những thay đổi thời tiết bên dưới mặt đất thường bị chi phối bởi những thay đổi ở tầng điện ly.
![]() |
| Chương trình HAARP đang nghiên cứu những thay đổi ở tầng điện ly khi bị kích thích bằng tín hiệu điện từ tần số cao. Ảnh minh họa: Montalk. |
Cấu trúc của tầng điện ly bao gồm các nguyên tử di chuyển một cách tự do. Một số kết hợp với nhau để tạo nên phân tử khí oxy, nitor sau đó di chuyển xuống bầu khí quyển. Một số khác di chuyển lên cao hơn chạm vào từ quyển và bị dội lại.
Những thay đổi ở tầng điện ly chi phối quá trình thay đổi thời tiết ở trên mặt đất. Tính chất vật lý của tầng điện ly thay đổi liên tục theo từng giờ từng phút, từng ngày và theo từng mùa khác nhau. Tính chất này càng trở nên phức tạp hơn khi ở gần điểm cực từ của trái đất.
Như vậy, nếu có thể hiểu và kiểm soát được những thay đổi của tầng điện ly, con người hoàn toàn có thể chi phối quá trình thay đổi thời tiết trên mặt đất.
“Tội đồ” của nước Mỹ, Edward Snowden đã tiết lộ trên tờ Chronicle rằng, HAARP chính là một chương trình tạo ra siêu vũ khí của Mỹ, chính nhờ cơ chế kiểm soát tầng điện ly.
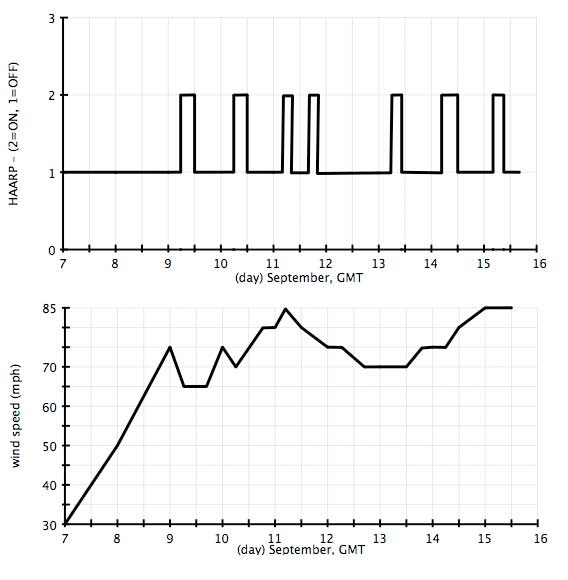
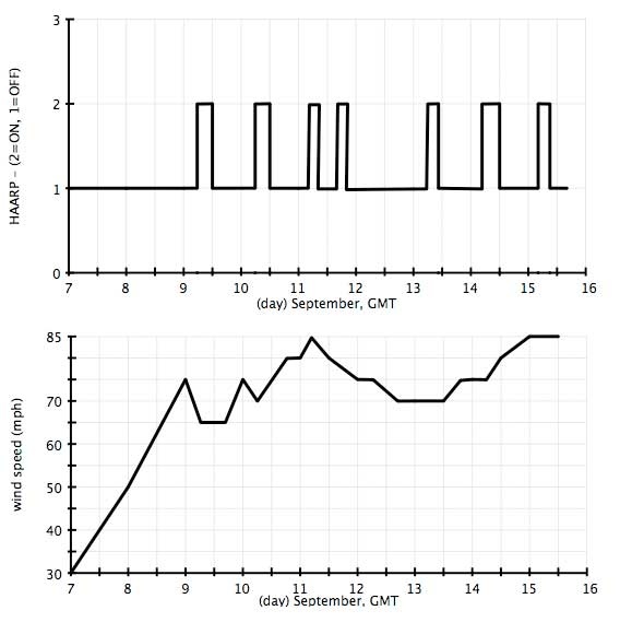
![]() |
| Những thay đổi được các nhà khoa học ghi nhận lại khi HAARP hoạt động (ở phía trên) và tốc độ gió của bão Ophelia (ở dưới). Ảnh: Apollo. |
Nhận định trên trở nên có cơ sở khi Tiến sĩ khoa học Bernard Eastlund, một trong những thành viên gắn liền với sự hình thành của HAARP tiết lộ rằng, ông đã được cấp bằng sáng chế vào năm 1987 cho công trình nghiên cứu “Phương pháp và thiết bị để làm thay đổi một vùng khí quyển thông qua tầng điện ly”.
Tiết lộ của ông đã cho thấy rằng, tuyên bố HAARP là một chương trình nghiên cứu khoa học đơn thuần chỉ là một trò bịp của Mỹ. Cơ sở nghiên cứu của HAARP được xây dựng ở một khu vực hẻo lánh ở bang Alaska cho thấy Mỹ đang cố gắng che đậy mục đích thực sự của chương trình này.
Tiến sĩ Michel Chossudovsky và tiến sĩ Nick Begich thuộc Đại học Ottawa và Đại học Alaska cho rằng, việc kích thích tầng điện ly có thể gây ra những tác động lớn thậm chí là tai hại. Các nhà khoa học còn đưa ra những bằng chứng cho thấy rối loạn ở tầng điện ly có thể gây nên những trận động đất hay sóng thần.
Đồng quan điểm trên, Tiến sĩ vật lý Bernard Eastlund cho rằng: “Chương trình HAARP là một lò vi sóng lớn nhất từng được chế tạo. Người Mỹ đang cố gắng tác động vào tầng điện ly nhằm tạo ra sự thay đổi thời tiết nhằm làm gián đoạn thông tin liên lạc và hoạt động của radar trên toàn cầu”.
![]() |
| Tương lai con người có khả năng điều khiển thời tiết có thể là một tín hiệu tích cực đối với biến đổi khí hậu, nhưng nếu con người biến nó thành vũ khí thì thảm họa sẽ ập đến. Ảnh minh họa: Boing Boing. |
Các nhà nghiên cứu khoa học độc lập trên thế giới đã nhiều lần đặt câu hỏi về sự liên quan của HAARP với những thảm họa gần đây của nhân loại. Một tuần trước khi xảy ra trận siêu bão Katrina, các nhà khoa học đã ghi nhận được những thay đổi bất thường của không khí mà có thể do thay đổi ở tầng điện ly tạo ra.
Năm 2005, bão Ophelia di chuyển một cách bất thường và đây là cơn bão hoạt động lâu nhất từng được ghi nhận. Hệ thống dự báo thời tiết tối tân của Mỹ đã không thể dự đoán đường đi của cơn bão này. Nó di chuyển giống như có ai đó đang điều khiển chứ không phải đi theo quy luật của tự nhiên.
Một số nhà nghiên cứu khoa học khác cũng đặt câu hỏi về “sự nhúng tay” của HAARP vào trận động đất ở Haiti, sóng thần ở Indonesia.
Mặc dù sự liên quan của HAARP đến các thảm họa nói trên vẫn chỉ là giả thuyết và chưa có bằng chứng cụ thể nhưng tiềm năng để tạo ra siêu vũ khí thời tiết bằng các tác động vào tầng điện ly hoàn toàn có cơ sở khoa học.
Các hiện tượng tự nhiên đều được vận hành theo một quy luật nhất định. Đó chính là cơ sở để các nhà khoa học khám phá và nghiên cứu nó. Việc con người có thể kiểm soát được thời tiết sẽ góp phần giảm nhẹ hậu quả do biến đổi khí hậu tạo ra. Nhưng nếu con người biến nó thành một thứ vũ khí thì đó sẽ là thảm họa.





