Bạn có thể chuyển sang phiên bản mobile rút gọn của Tri thức trực tuyến nếu mạng chậm. Đóng

Chỉ tiêu tuyển sinh lớp 10 công lập ở TP.HCM

Nhiều trường THPT ở TP.HCM tăng mạnh chỉ tiêu so với năm học 2025-2026, đặc biệt là tại các trường chuyên.

Học sinh tại trường THPT chuyên Trần Đại Nghĩa. Ảnh: Phương Lâm.

Theo thông báo về chỉ tiêu tuyển sinh lớp 10 công lập do Sở GD&ĐT TP.HCM công bố vào chiều 29/4, năm nay, trường THPT chuyên Trần Đại Nghĩa tuyển 525 học sinh, tăng 70 chỉ tiêu so với năm học trước.

Số suất học cụ thể cho từng khối chuyên như sau: Ngữ văn (35), Toán (70), Vật Lý (35), Hóa học (70), Sinh học (35), Lịch sử (35), Địa lý (35), Tiếng Anh (105), Tiếng Anh Đề án 5695 (70), Tin học (35).

Tương tự, trường THPT chuyên Hùng Vương (Bình Dương cũ) và THPT chuyên Lê Quý Đôn (Bà Rịa - Vũng Tàu cũ) lấy số chỉ tiêu lần lượt là 455 và 525. Năm học trước, trường chuyên Hùng Vương chỉ tuyển 385 học sinh còn trường chuyên Lê Quý Đôn lấy 455 em vào lớp 10.

Trường THPT chuyên Lê Hồng Phong vẫn tuyển 805 học sinh cho các khối chuyên cụ thể như sau: Ngữ văn (70), Toán (105), Vật Lý (70), Hóa học (70), Sinh học (70), Lịch sử (35), Địa lý (35), Tiếng Anh (105), Tiếng Anh Đề án 5695 (70), Tiếng Trung (35), Tiếng Pháp (35), Tiếng Nhật (35), Tin học (70).

Tại các trường THPT công lập khác, nhiều trường cũng được Sở GD&ĐT TP.HCM giao chỉ tiêu tuyển sinh nhiều hơn. Ví dụ, trường THPT Trưng Vương tăng đến 225 chỉ tiêu, từ 675 suất học ở năm 2025-2026 lên 900 suất cho năm học 2-26-2027.

Trường THPT Nguyễn Thị Minh Khai cũng tăng từ 690 chỉ tiêu lên 845, trong đó, 810 chỉ tiêu dành cho lớp thường và 35 chỉ tiêu dành cho lớp tích hợp.

Trường THCS - THPT Trần Đại Nghĩa - trường có điểm chuẩn cao nhất năm học 2025-2026 - cũng bổ sung 180 chỉ tiêu cho năm học mới. Theo đó, học sinh TP.HCM có cơ hội giành 465 suất học tại trường này, gồm 360 chỉ tiêu lớp thường và 105 chỉ tiêu lớp tích hợp.

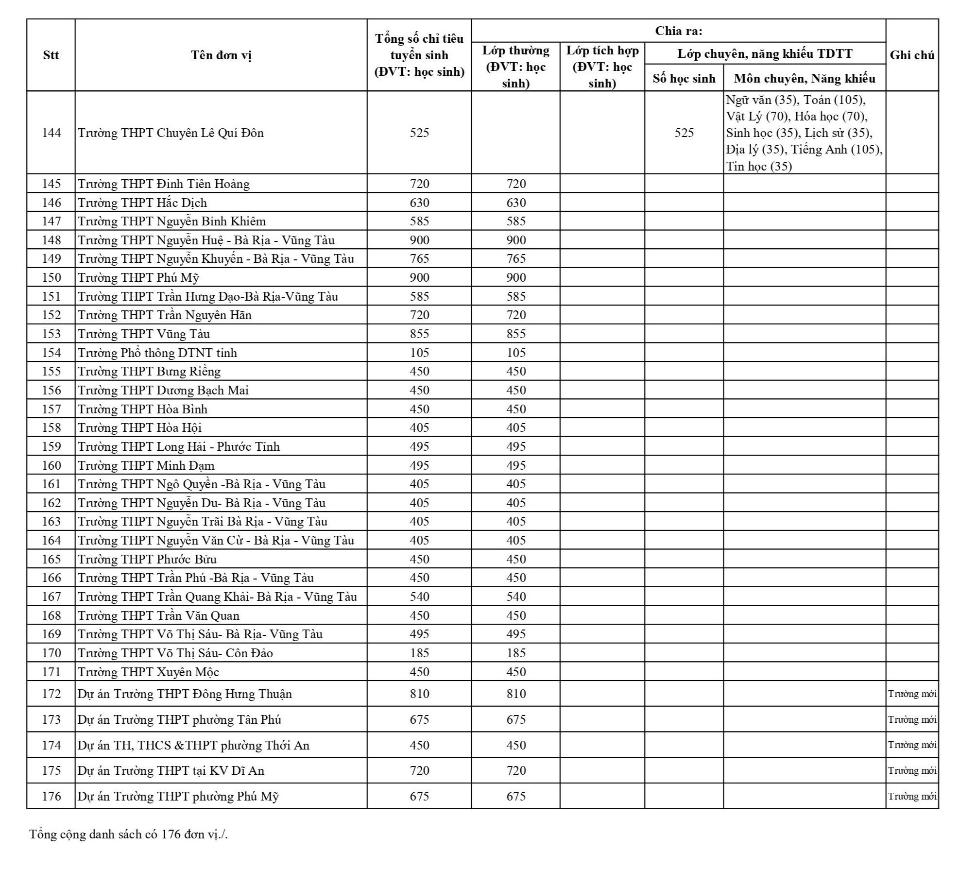
Chỉ tiêu cụ thể của 176 trường THPT công lập tại TP.HCM cụ thể như sau:

tuyen sinh lop 10 anh 1
tuyen sinh lop 10 anh 2
tuyen sinh lop 10 anh 3
tuyen sinh lop 10 anh 4

Đối với các trường THPT, trường phổ thông nhiều cấp học trực thuộc đại học, trường đại học, chỉ tiêu tuyển sinh của năm học mới được công bố như sau:

STT Tên trường Đơn vị chủ quản Chỉ tiêu tuyển sinh
1 Phổ thông Năng khiếu Đại học Quốc gia TP.HCM 595
2 Trung học Thực hành Đại học Sư phạm Đại học Sư phạm TP.HCM 280
3 Trung học Thực hành Sài Gòn Đại học Sài Gòn 175
4 Quốc tế Việt Nam - Phần Lan Đại học Tôn Đức Thắng 75
5 Phổ thông Năng khiếu Thể thao Olympic Đại học Thể dục Thể thao TP.HCM 70

Ngoài các trường THPT hiện có sau sáp nhập, TP.HCM cũng bổ sung 5 trường mới và bắt đầu tuyển sinh từ năm học 2026-2027. Chỉ tiêu cụ thể của các trường mới như sau:

STT Tên trường Phường Chỉ tiêu
1 THPT phường Phú Mỹ Phú Mỹ 675
2 THPT phường Tân Phú Tân Phú 675
3 TH, THCS và THPT phường Thới An Thới An 450
4 THPT phường Dĩ An Dĩ An 720
5 THPT phường Đông Hưng Thuận Đông Hưng Thuận 810

Trong thông báo được công bố ngày 29/4, Sở GD&ĐT TP.HCM cho biết danh sách 5 trường mới sẽ được cập nhật trên hệ thống tuyển sinh tại địa chỉ https://ts10.hcm.edu.vn. Phụ huynh và học sinh có thể điều chỉnh, thay đổi nguyện vọng trong khoảng thời gian từ 14h ngày 4/5/2026 đến 17h ngày 8/5/2026.

Để điều chỉnh, thay đổi nguyện vọng lớp 10, thí sinh, phụ huynh thực hiện các bước như sau:

A. Đăng nhập tài khoản

Bước 1: Mở trình duyệt (Firefox, Chrome, Safari…) và truy cập địa chỉ https://ts10.hcm.edu.vn.

Bước 2: Tại trang chủ, phụ huynh và học sinh tham khảo thông tin, sau đó chọn chức năng [Đăng ký tuyển sinh].

Bước 3: Nhập tài khoản và mật khẩu do trường THCS cung cấp, thực hiện [Đăng nhập].

B. Kiểm tra thông tin

Bước 4: Hệ thống hiển thị hồ sơ đăng ký dự tuyển lớp 10.

Các thông tin cơ bản của học sinh đã được nhà trường cập nhật. Phụ huynh cần rà soát kỹ, đặc biệt là số điện thoại và email liên hệ. Trong trường hợp cần điều chỉnh thông tin cá nhân hoặc nơi cư trú, phụ huynh liên hệ giáo viên chủ nhiệm để được hỗ trợ.

C. Đăng ký trường loại thường

I. Trường hợp không dự thi lớp 10 thường, phụ huynh chọn chức năng xác nhận không tham gia tuyển sinh lớp 10 thường trên hệ thống.

II. Trường hợp dự thi lớp 10 thường

Bước 1: Chọn chức năng đăng ký nguyện vọng. Lưu ý, thí sinh được đăng ký tối đa 3 nguyện vọng.

Bước 2: Chọn xã/phường và trường đăng ký dự tuyển. Nếu chỉ đăng ký 2 nguyện vọng, chọn [Không dự tuyển nguyện vọng 3].

D. Đăng ký trường chuyên hoặc tích hợp (Đề án 5695)

I. Trường hợp không dự thi, phụ huynh chọn chức năng xác nhận không tham gia hệ chuyên hoặc tích hợp.

II. Trường hợp dự thi

Thí sinh chọn một trong hai loại hình: Chuyên hoặc tích hợp.

  1. Đăng ký lớp chuyên

Bước 1: Bỏ chọn chức năng không dự thi.

Bước 2: Chọn môn chuyên và trường đăng ký dự tuyển.

  1. Đăng ký lớp tích hợp

Bước 1: Xác nhận “Đã học tích hợp (theo Đề án 5695) ở THCS”.

Bước 2: Chọn nhóm tích hợp và đăng ký trường theo nguyện vọng.

Bước 3: Nhập thông tin khảo sát môn lựa chọn khi trúng tuyển.

Bước 4: Kiểm tra lại toàn bộ thông tin và chọn [Hoàn thành đăng ký].

E. Điều chỉnh thông tin và xuất phiếu

  • Sau khi hoàn tất, hệ thống hiển thị đầy đủ hồ sơ đăng ký. Nếu cần chỉnh sửa, phụ huynh chọn [Quay lại chỉnh sửa].
  • Chức năng [Xuất phiếu đăng ký] cho phép lưu lại thông tin hồ sơ.

Bạn đang cảm thấy mình đã quá tuổi để học?

Được học - câu chuyện về cô gái 17 mới được đến trường lần đầu và đã trở thành tiến sĩ ngành Sử học về sau - hơn cả một câu chuyện truyền cảm hứng về học tập. Đó là hành trình đi tìm bản ngã của Tara Westover, khi cô đánh mất gia đình mình với những lời cáo buộc nghiệt ngã. Đó là sự trưởng thành về nhận thức trước một thế giới rộng lớn hơn gấp nhiều lần những gì cô được nhồi nhét trước kia. Đó là một hành trình giáo dục mà không phải ai cũng sẽ dễ dàng hoàn thành được. Độc giả có thể tìm hiểu thêm về Được học tại đây.

TP.HCM có thêm 5 trường công lập tuyển sinh lớp 10

Từ năm học 2026-2027, TP.HCM bổ sung 5 trường THPT công lập mới tại 5 phường Phú Mỹ, Tân Phú, Thới An, Dĩ An và Đông Hưng Thuận.

Thái An

Bạn có thể quan tâm