Bạn có thể chuyển sang phiên bản mobile rút gọn của Tri thức trực tuyến nếu mạng chậm. Đóng

Sở GD&ĐT công bố đáp án các môn thi tuyển sinh lớp 10

Chiều 17/6, Sở GD&ĐT Hà Nội công bố đáp án các môn thi trong kỳ thi tuyển sinh lớp 10 THPT công lập năm học 2021-2022.

Đề thi và đáp án môn Ngữ văn:

Dap an chinh thuc cac mon thi tuyen sinh lop 10 anh 1

Dap an chinh thuc cac mon thi tuyen sinh lop 10 anh 2

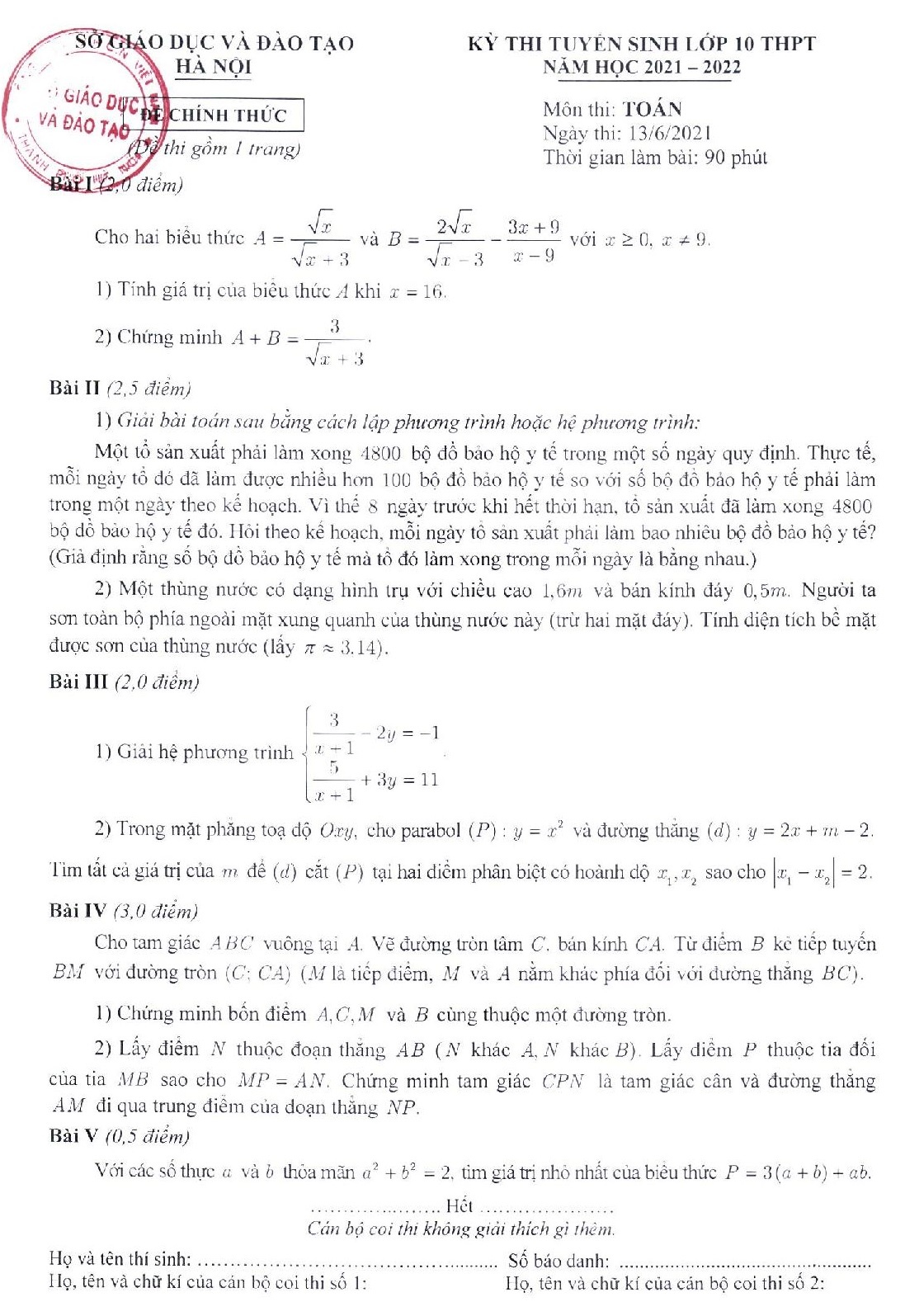
Đề thi và đáp án môn Toán:

Dap an chinh thuc cac mon thi tuyen sinh lop 10 anh 3

Dap an chinh thuc cac mon thi tuyen sinh lop 10 anh 4

Dap an chinh thuc cac mon thi tuyen sinh lop 10 anh 5

Đáp án môn Lịch sử, mã đề 002 (thí sinh xem đề thi tại đây):

Dap an chinh thuc cac mon thi tuyen sinh lop 10 anh 6

Đáp án môn Tiếng Anh mã đề 102 (thí sinh xem đề thi tại đây):

Dap an chinh thuc cac mon thi tuyen sinh lop 10 anh 7

Đáp án môn Tiếng Pháp mã đề 502 (thí sinh xem đề thi tại đây):

Dap an chinh thuc cac mon thi tuyen sinh lop 10 anh 8

Đáp án môn Tiếng Hàn mã đề 302 (thí sinh xem đề thi tại đây):

Dap an chinh thuc cac mon thi tuyen sinh lop 10 anh 9

Đáp án môn Tiếng Đức mã đề 202 (thí sinh xem đề thi tại đây):

Dap an chinh thuc cac mon thi tuyen sinh lop 10 anh 10

Đáp án môn Tiếng Nhật mã đề 402 (thí sinh xem đề thi tại đây):

Dap an chinh thuc cac mon thi tuyen sinh lop 10 anh 11

278 thí sinh không đến dự thi vào lớp 10 ở Hà Nội

Trong hai ngày thi vào lớp 10 THPT công lập ở Hà Nội, 278 thí sinh vắng thi, bao gồm thí sinh diện F0, F1, F2.

Nguyễn Sương

Bạn có thể quan tâm