Bạn có thể chuyển sang phiên bản mobile rút gọn của Tri thức trực tuyến nếu mạng chậm. Đóng

Đề thi Toán vòng 2 vào THPT chuyên Khoa học Tự nhiên khó

Giáo viên nhận xét đề thi Toán vòng 2 của trường THPT Khoa học Tự nhiên khó, phổ điểm rơi vào khoảng 5-5,5 điểm.

Sáng 16/6, các thí sinh dự thi vào trường THPT chuyên Khoa học Tự nhiên, ĐH Khoa học Tự nhiên, ĐH Quốc gia Hà Nội, làm bài thi Toán vòng 2.

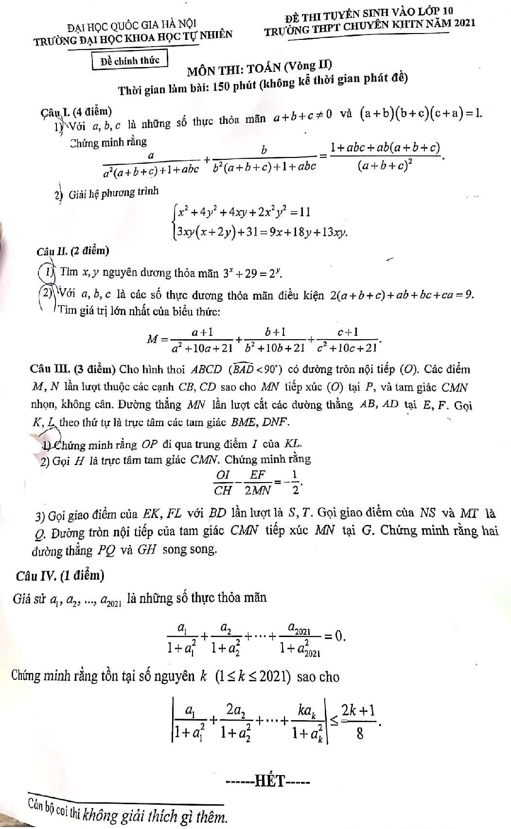
Đề thi như sau:

De thi Toan vong 2 anh 1

TS Phạm Ngọc Hưng, giáo viên môn Toán, Hệ thống Giáo dục HOCMAI, nhận định cấu trúc đề trên có 4 bài toán, với các ý hỏi trong mỗi bài tương tự như 3 năm gần đây.

Các bài toán chủ yếu thuộc chương trình lớp 8-9, một số phần số học thì cần vận dụng các kiến thức đã được học trong lớp 6-7 để giải. Các bài toán chủ yếu các bài toán ở dạng vận dụng cao, đòi hỏi thí sinh phải có kỹ năng thực sự tốt. Khoảng 50% số lượng câu hỏi ở mức độ trung bình đến trung bình khó, đa số thí sinh có thể giải được. Một số ý của đề bài ở mức vận dụng cao như câu 2b, 3c. Câu hỏi tương đối khó như bài 4.

Thí sinh phải được ôn luyện bài bản, nắm vững các phương pháp giải, có tư duy tốt, suy luận tốt thì mới có thể giải được hết các bài toán trong đề. Đề thi có mức độ phân hóa tốt, có khả năng lựa chọn được những học sinh xuất sắc để học chuyên toán.

Theo TS Phạm Ngọc Hưng, với đề thi này, phổ điểm trung bình khoảng 5-6 điểm. Học sinh ôn luyện tốt có thể đạt 7-8 điểm, điểm 9-10 sẽ rất ít.

"Học sinh có định hướng ôn thi chuyên Toán Khoa học Tự Nhiên phải có đam mê, năng lực thực sự trong tư duy toán học. Học sinh cũng cần có định hướng rõ ràng ngay từ những năm đầu cấp 2. Các phương pháp giải toán, kỹ năng đọc đề và phân tích đề để tìm cách giải luôn phải được rèn luyện và trau dồi. Tư duy logic và kỹ năng trình bày cũng là những yếu tố không thể bỏ qua", thầy Hưng chia sẻ.

Thầy Nguyễn Mạnh Cường, giáo viên Toán, trường THPT chuyên Hà Nội - Amsterdam, cũng đánh giá cấu trúc đề thi gần như tương đồng với những năm trước.

Tuy nhiên, đề dễ hơn do bớt đi bài tổ hợp thuần túy, tăng bài bất đẳng thức (2 bài), đồng thời khối lượng tính toán có giảm đi, nhưng bài hình thì vẫn giữ độ phức tạp.

Câu 1 là câu Đại số khá đơn giản, nhiều học sinh sẽ làm tốt. Ý 1 chỉ cần thay giả thiết vào và biến đổi là xong. Ý 2 là hệ phương trình mà phép đặt ẩn phụ khá lộ, đặt xong thì bài toán trở nên đơn giản.

Câu 2 có ý 1 là phương trình nghiệm nguyên chứa ẩn ở số mũ, cần xét tính chẵn - lẻ của ẩn, kết hợp tính chia hết. Ý 2 là bài bất đẳng thức có tính đối xứng, học sinh khá dễ đoán dấu bằng và xử lý.

Câu 3 về Hình học, là câu mà trường chuyên Khoa học Tự nhiên thường ra khó và rắc rối. Thí sinh dễ kiếm điểm ở ý 1, từ ý 2, hình trở nên khá rối. Ý 3 đòi hỏi thí sinh quan sát hình tốt để thấy mối liên hệ giữa các góc, từ đó mới có thể giải quyết bài toán.

Câu 4 là dạng bài bất đẳng thức khá lạ với học sinh, đòi hỏi các em có tư chất tốt hoặc đã từng ôn luyện qua. Giống như ý 3 câu 3, câu này sẽ không nhiều em làm được.

"Nhìn chung, đây là đề khó với học sinh, phổ điểm rơi vào khoảng 5-5,5. Để đạt mức điểm từ 8 trở lên sẽ không nhiều. Đề có tính phân loại cao, mang đặc trưng riêng của chuyên Khoa học Tự nhiên", thầy Cường đánh giá.

Gợi ý đáp án đề thi môn Toán vào lớp 10 ở Hà Nội

Sáng 13/6, thí sinh thi vào lớp 10 THPT công lập ở Hà Nội làm bài môn Toán theo hình thức tự luận trong 90 phút.

Nguyễn Sương

Bạn có thể quan tâm