Bạn có thể chuyển sang phiên bản mobile rút gọn của Tri thức trực tuyến nếu mạng chậm. Đóng

Gợi ý đáp án đề thi môn Toán vào lớp 10 ở Hà Nội

Sáng 13/6, thí sinh thi vào lớp 10 THPT công lập ở Hà Nội làm bài môn Toán theo hình thức tự luận trong 90 phút.

Đề thi môn Toán vào lớp 10 ở Hà Nội sáng 13/6:

De thi Toan vao lop 10 anh 1

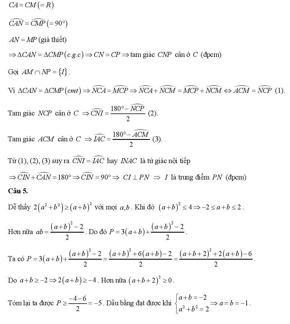
Gợi ý đáp án do giáo viên Hệ thống HOCMAI thực hiện:

De thi Toan vao lop 10 anh 2
De thi Toan vao lop 10 anh 3
De thi Toan vao lop 10 anh 4

De thi Toan vao lop 10 anh 5

De thi Toan vao lop 10 anh 6

Thầy Lưu Huy Thưởng, giáo viên môn Toán, Hệ thống Giáo dục HOCMAI, cho biết đề thi giữ nguyên cấu trúc đề thi 2-3 năm trở lại đây. Độ khó và số lượng câu hỏi của đề giảm đi nhưng nội dung về cơ bản vẫn được giữ nguyên.

Với việc thời gian làm bài giảm đi 1/4, thí sinh cần có sự tỉ mỉ và chính xác trong quá trình làm bài, để tránh mất điểm. Thầy Thưởng đánh giá đề thi phù hợp thời gian 90 phút và đảm bảo phân loại học sinh trong việc xét tuyển vào lớp 10.

Các đơn vị kiến thức đều nằm trong chương trình học của học sinh, theo đúng định hướng tinh giản của Bộ GD&ĐT. Phổ điểm sẽ phổ biến ở mức 7-8 điểm.

Thầy Nguyễn Mạnh Cường - giáo viên môn Toán, trường THPT chuyên Hà Nội - Amsterdam - cho rằng với đề thi này, phổ điểm chung mà học sinh có thể đạt được là 7 điểm. Tuy nhiên, những học sinh ôn tập bài bản và kỹ hoàn toàn có thể đạt 8-9 điểm.

Trong kỳ thi tuyển sinh vào lớp 10 THPT năm học 2021-2022, Hà Nội có 93.363 thí sinh đăng ký thi. Số lượng tuyển vào trường THPT khoảng 90.730 em. Trong đó, các trường công lập tuyển 68.670 em. Trường ngoài công lập và THPT công lập tự chủ tài chính tuyển 24.370 em.

Năm nay, thí sinh làm bài môn Toán trong 90 phút thay vì 120 phút như các năm trước.

Trong sáng 13/6, thí sinh cũng làm bài thi môn Lịch sử, thời gian làm bài 45 phút.

Phụ huynh nghỉ làm, đưa con đi thi 3-4 trường chuyên/tuần

Lịch thi vào trường chuyên ở Hà Nội được sắp xếp dày đặc. Dù vậy, một số thí sinh và phụ huynh hài lòng với tâm lý thi xong một loạt để nghỉ ngơi sớm.

Nguyễn Sương

Bạn có thể quan tâm