Đời sống
Cộng đồng mạng
Muôn kiểu mật khẩu Wi-Fi khiến 'người muốn dùng chùa phải bó tay'
- Thứ tư, 1/5/2019 18:20 (GMT+7)
- 18:20 1/5/2019
Kết quả một phương trình hoá học phức tạp hay đáp án của bài toán hóc búa... là những kiểu mật khẩu Wi-Fi khiến nhiều người nhìn vào phải ngao ngán.
 |
| Mới đây, câu hỏi tìm ra mật khẩu Wi-Fi của một nữ sinh đăng tải trên diễn đàn gần một triệu thành viên nhờ sự giúp đỡ trở thành tâm điểm chú ý. Theo đó, nhiều người đã giúp cô giải phương trình hoá học để tìm ra mật khẩu, song số khác lại cho rằng mật khẩu Wi-Fi chỉ đơn giản chỉ là dòng chữ "kết quả cuối cùng của phản ứng". Ảnh: Hồng Khanh. |
 |
Sau câu chuyện được các cô gái phòng bên xin mật khẩu Wi-Fi, thay vì viết mật khẩu ra giấy một cách đơn giản, những anh hàng xóm khiến các cô gái bối rối khi phải giải phương trình hóa học hóc búa để có được mật khẩu. Sau khi bài viết được đăng lên mạng, nhiều người đã chúc mừng các cô gái và cho rằng chỉ cần giải xong phương trình hóa học là sẽ có Wi-Fi miễn phí để dùng.
|
 |
| Trước đó, bức ảnh yêu cầu người dùng giải hệ phương trình khá phức tạp để lấy mật khẩu Wi-Fi khiến nhiều người cảm thấy thích thú. Họ cho rằng đây là cách hay để truyền cảm hứng học tập. Ảnh: FB. |
 |
| Cách đây không lâu, nhiều học sinh cũng từng lan truyền bức ảnh cô giáo cung cấp pass Wi-Fi qua một phương trình đại số rắc rối. Kết quả là nhiều học sinh thà tự bật 3G hoặc không nghĩ đến chuyện vào mạng hơn là cố gắng ngồi giải. Ảnh: GTG. |
 |
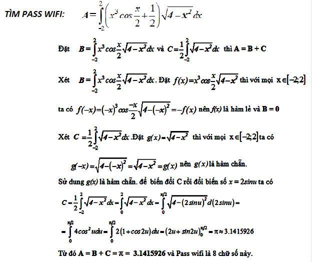
"Uống có một ly cà phê, xin pass Wi-Fi mà chủ quán bắt giải bài toán tích phân này để lấy mật khẩu. Sau một tiếng tiếng toát mồ hôi mình cũng có được mật khẩu Wi-Fi thì cà phê đã tan thành nước đá", một thành viên mạng hài hước chia sẻ về tình huống của mình. Ảnh: Như Quyết.
|
 |
| Ngày 23/10/2018, học sinh trường THPT Nguyễn Công Trứ (An Giang) đăng ảnh chụp đề Toán trên một diễn đàn. Điều đặc biệt, đề bài này không phải bài tập về nhà hay đề thi mà chính là câu đố dành cho những học trò muốn sử dụng Wi-Fi miễn phí ở trường. Đề bài được dán công khai trên bảng tin, thay đổi trong từng khung giờ. Đáp án của bài toán chính là mật khẩu Wi-Fi. Nếu muốn dùng "chùa" Wi-Fi, các bạn trẻ chỉ có cách duy nhất là giải chính xác và nhanh chóng. Ảnh: Sơn Tuấn. |
 |
| Không chỉ Toán mà ngay cả bộ môn Hóa học cũng được áp dụng để thách đố lẫn nhau. |
những cách cho mật khẩu wifi hài hước
mật khẩu wifi
cách cho mật khẩu wifi
mật khẩu wifi hài hước