Bạn có thể chuyển sang phiên bản mobile rút gọn của Tri thức trực tuyến nếu mạng chậm. Đóng

Gợi ý đáp án môn Toán vào lớp 10 ở Hà Nội

Sáng 11/6, thí sinh tham dự kỳ thi tuyển sinh vào lớp 10 ở Hà Nội hoàn thành bài thi môn Toán. Đây là buổi thi cuối cùng của những em không đăng ký vào trường chuyên.

Gần 105.000 thí sinh đã hoàn thành kỳ tuyển sinh lớp 10 không chuyên tại Hà Nội. Ảnh: Thành Đông.

Đề thi như sau:

thi lop 10 anh 1

Tri thức trực tuyến giới thiệu gợi ý đáp án do giáo viên Hệ thống giáo dục HOCMAI thực hiện:

thi lop 10 anh 2
thi lop 10 anh 3
thi lop 10 anh 4
thi lop 10 anh 5
thi lop 10 anh 6
thi lop 10 anh 7

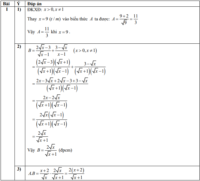
Toán là môn thi cuối cùng đối với những thí sinh chỉ dùng điểm thi để đăng ký xét tuyển lớp 10 công lập hệ thường ở Hà Nội. Theo đánh giá của thí sinh, phần khó rơi vào câu c của bài hình học.

Trong khi đó, giáo viên nhận định đề thi tuyển sinh vào lớp 10 môn Toán của Sở GD&ĐT Hà Nội vẫn giữ được tính ổn định về cấu trúc so với các năm gần đây. Bên cạnh đó, đề vẫn có sự phân hóa để đảm bảo yêu cầu, tính chất của một đề thi tuyển sinh.

Cấu trúc đề thi vẫn bao gồm 5 bài toán lớn, mỗi bài gồm nhiều ý nhỏ được sắp xếp theo thứ tự từ dễ đến khó với các dạng bài đã rất quen thuộc nhằm tránh gây ra sự xáo trộn, bỡ ngỡ cho các thí sinh. Mặt khác, đề thi có sự tăng nhẹ về độ khó so với năm 2022-2023, phân hóa tốt.

Cụ thể, bài 1 là dạng bài quen thuộc và không gây khó khăn cho thí sinh.

Bài 2 giữ nguyên tính ổn định về độ khó và dạng bài. Ý đầu là bài toán giải bài toán bằng cách lập phương trình - hệ phương trình có yếu tố thực tế. Thí sinh cần có khả năng phân tích đề, chọn từ khóa và dữ kiện mấu chốt để giải quyết bài toán. Ý thứ 2 là câu hỏi liên quan đến hình học không gian, thí sinh chỉ cần vận dụng đúng công thức là tìm ra đáp án.

Bài 3 là các dạng bài quen thuộc và có sự tăng nhẹ về độ khó (ý 2b). Cấu trúc bài toán tương tự các năm gần đây, gồm câu hỏi giải hệ phương trình đưa về bậc nhất và câu hỏi về sự tương giao giữa đồ thị hai hàm số, trong đó ý 2b đòi hỏi thí sinh phải nhanh nhạy trong quá trình biến đổi và vận dụng linh hoạt định lý Vi-et để xử lý.

Bài 4 cũng tương tự đề thi các năm. Đây là bài toán về hình học và các dạng bài xuất hiện trong các câu hỏi đều là dạng bài quen thuộc như chứng minh tứ giác nội tiếp, chứng minh góc bằng nhau, chứng minh đẳng thức và chứng minh song song. Ý c của bài toán vẫn luôn là câu hỏi khó, dành để phân loại thí sinh.

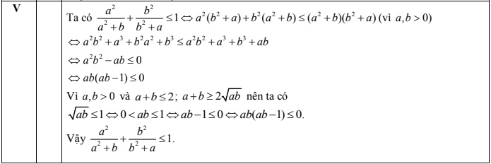
Bài 5 vẫn là bài về bất đẳng thức và là câu hỏi có tính phân loại của đề. Bài toán tăng về độ khó và để giải quyết bài toán thí sinh cần vận dụng linh hoạt các kỹ năng biến đổi bất đẳng thức và áp dụng hợp lý, đúng thời điểm các dữ kiện đề bài đã cho.

Bạn đang cảm thấy mình đã quá tuổi để học?

Được học - câu chuyện về cô gái 17 mới được đến trường lần đầu và đã trở thành tiến sĩ ngành Sử học về sau - hơn cả một câu chuyện truyền cảm hứng về học tập. Đó là hành trình đi tìm bản ngã của Tara Westover, khi cô đánh mất gia đình mình với những lời cáo buộc nghiệt ngã. Đó là sự trưởng thành về nhận thức trước một thế giới rộng lớn hơn gấp nhiều lần những gì cô được nhồi nhét trước kia. Đó là một hành trình giáo dục mà không phải ai cũng sẽ dễ dàng hoàn thành được. Độc giả có thể tìm hiểu thêm về Được học tại đây.

Cuộc đua căng thẳng vào lớp 10 ở Hà Nội, thí sinh đến điểm thi từ 5h45

Dù 7h15 mới đến giờ vào phòng thi, nhiều thí sinh đã đến điểm thi trường THCS Khương Thượng từ 5h45. Các em tỏ ra lo lắng, hồi hộp trong buổi thi đầu tiên.

Ngọc Bích - Lan Anh

Bạn có thể quan tâm