Tuy nhiên, hiện nay máy tính bỏ túi Casio fx-570VN PLUS đã giải quyết được vấn đề này.
Dưới đây là ý kiến của thầy Nguyễn Trường Chấng - Chuyên viên Toán Bitex, Nguyên Ủy viên BCH Hội toán học TP.HCM.
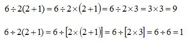
Bằng 9 hay bằng 1?
Bài toán tưởng chừng đơn giản, dành cho học sinh lớp 3 lại đang gây ra những tranh cãi chưa có hồi kết trên cộng đồng mạng. Do cách viết không rõ ràng nên đề toán trên có thể hiểu đề theo 2 hướng:
Với 2 hướng giải như trên, bài toán cho ra 2 kết quả hoàn toàn khác nhau, chủ yếu là việc xét cụm 2(2+1) được hiểu là 2x (2+1) hay [2x(2+1)]. Khi sử dụng máy tính Casio fx-570VN PLUS người sử dụng sẽ không còn gặp trường hợp như trên. Lý do là khi nhập vào màn hình máy tính 6/2(2+1) và ấn = thì máy tự động sửa thành 6/(2(2+1)) cho ra kết quả là 1.
Còn nếu ghi 6/2x(2+1) thì máy cho ra là 9.
![]() |
![]() |
Máy tính Casio fx-570VN PLUS cũng giải quyết một số trường hợp có thể gây nhầm lẫn tương tự. Ví dụ:
5/2√3 phải ghi là 5/(2√3)
Phương trình 5/2x = 4 phải ghi là 5/(2x) = 4
Đây là tính năng tự động điều chỉnh của Casio fx-570VN PLUS hỗ trợ học sinh có cách hiểu minh bạch bài toán, tránh được các trường hợp dễ gây nhầm lẫn.
![]() |
| Casio fx-570VN PLUS là máy tính khoa học được Casio sản xuất năm 2013 độc quyền cho Việt Nam. |
Tư liệu: Casio


