Bạn có thể chuyển sang phiên bản mobile rút gọn của Tri thức trực tuyến nếu mạng chậm. Đóng

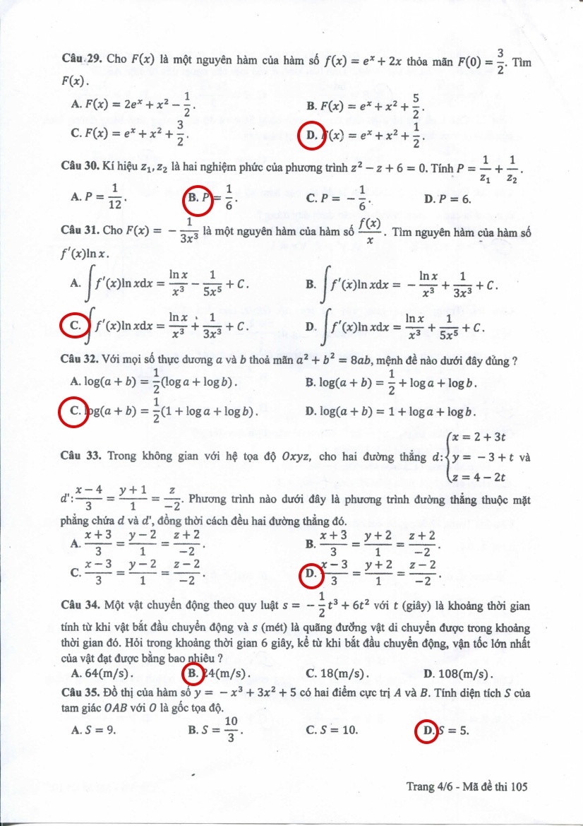
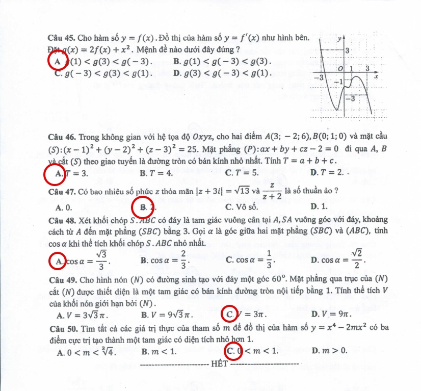
Bài giải môn Toán mã đề 105

Bài giải đề thi môn Toán THPT quốc gia 2017 do tổ giáo viên Hocmai.vn thực hiện.

Dap An De Thi Thpt Quoc Gia 2017 anh 1
Dap An De Thi Thpt Quoc Gia 2017 anh 2
Dap An De Thi Thpt Quoc Gia 2017 anh 3
Dap An De Thi Thpt Quoc Gia 2017 anh 4
Dap An De Thi Thpt Quoc Gia 2017 anh 5
Dap An De Thi Thpt Quoc Gia 2017 anh 6
Dap An De Thi Thpt Quoc Gia 2017 anh 7
Đề thi Toán có những câu rất khó Nhiều thí sinh cho biết ngoài 20 câu đầu khá dễ, có thể giải nhanh, đề thi trắc nghiệm Toán chiều nay có những câu rất khó để phân loại thí sinh.

Đề thi, bài giải môn Toán THPT quốc gia 2017

Zing.vn cập nhật đề thi và gợi ý bài giải 8 mã đề thi môn Toán THPT quốc gia 2017 do tổ giáo viên Hoc24h.vn thực hiện.


Nguyễn Sương

Bạn có thể quan tâm