> Bài giải môn Toán THPT quốc gia mã đề 124
> Bài giải môn Toán THPT quốc gia mã đề 122
> Bài giải môn Toán THPT quốc gia mã đề 115
> Bài giải môn Toán THPT quốc gia mã đề 117
> Bài giải môn Toán THPT quốc gia mã đề 101
> Bài giải môn Toán THPT quốc gia mã đề 109
> Bài giải môn Toán THPT quốc gia mã đề 123
> Bài giải môn Toán THPT quốc gia mã đề 113
> Bài giải môn Toán THPT quốc gia mã đề 105
> Bài giải môn Toán THPT quốc gia mã đề 110
> Bài giải 24 mã đề môn Toán THPT quốc gia 2017
Đề thi môn Toán THPT quốc gia 2017:
Lưu ý: Các đánh dấu trong đề là của thí sinh, không phải đáp án.
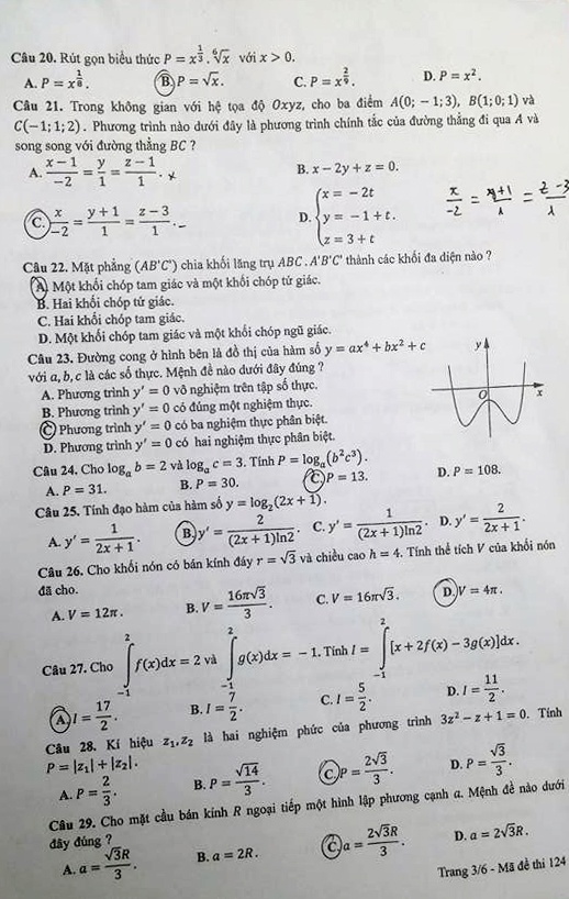
Mã đề 124
![]() |
![]() |
![]() |
![]() |
![]() |
![]() |
Mã đề 122
![]() |
![]() |
![]() |
![]() |
![]() |
![]() |
| Nhóm giải đề thi môn Toán THPT quốc gia 2017. Ảnh: Hoàng Hà. |
Những người tham gia giải đề thi môn Toán gồm thầy Nguyễn Tiến Đạt - Giáo viên Hoc24h.vn - và nhóm giáo viên luyện thi tại Hà Nội: Vũ Văn Ngọc, Nguyễn Đình Hoàn, Lại Trường Giang, Nguyễn Hồng Quân, Trình Minh Đức, Cao Tuấn, Nguyễn Chiến.











