Chỉ còn vài tuần nữa là sự kiện thể thao hàng đầu thế giới – World Cup được khai mạc tại Brazil. Tuy nhiên, khi cơn sốt bóng đá đang tăng nhiệt thì các chuyên gia kinh tế lại rối bời với lo ngại, sự kiện này có thể mang lại rắc rối cho thị trường chứng khoán.
| Thị trường chứng khoán đã nhiều lần là nạn nhân của World Cup trong lịch sử. |
Theo Dario Perkins, một nhà kinh tế học của công ty nghiên cứu Lombard Street Research, World Cup là khoảng thời gian của những lo âu và mất mát, và thị trường chứng khoán đã nhiều lần là nạn nhân của World Cup trong lịch sử.
Diễn ra định kỳ 4 năm một lần, mùa giải đầu tiên được tổ chức năm 1930 – cũng chính là năm diễn ra cuộc Đại suy thoái.
Năm 1986 là năm World Cup đánh dấu sự sụp đổ của thị trường chứng khoán. 4 năm sau đó – năm 1990 - chứng kiến đợt suy thoái của kinh tế Mỹ.
Năm 1994, thị trường trái phiếu vỡ bong bóng.
Năm 1998 là năm quỹ hỗ tương Quản lý nguồn vốn dài hạn (LTCM) sụp đổ, liên quan đến vụ phá sản của ngân hàng Lehman Brothers, đồng thời cũng là giai đoạn khủng hoảng kinh tế châu Á.
Chưa dừng lại ở đó, năm 2002 là năm bong bóng Dotcom xì hơi. 2006 là cột mốc sụp đổ của thị trường nhà đất Mỹ.
Sự phục hồi của nền kinh tế thế giới chững lại vào năm 2010, cũng là năm suy thoái châu Âu nhen nhóm.
Không hiểu là trùng hợp ngẫu nhiên hay xảy ra theo yếu tố nhân quả, nhưng danh sách tử thần trên đây đã khiến nhiều nhà kinh tế thoáng lo ngại về việc liệu kịch bản có lặp lại vào năm 2014, khi chính trường còn nhiều yếu tố rủi ro tiềm ẩn, như cuộc khủng hoảng tại Ukraine, sự đối đầu đang gia tăng ở khu vực châu Á hay chính sách Abenomics tại Nhật Bản.
Để kiểm tra giả thiết cho rằng, thị trường chứng khoán làm ăn đìu hiu trong giai đoạn diễn ra World Cup, hai nhà nghiên cứu kinh tế - Michael Ehrmann và David-Jan Jansen – đã công bố một báo cáo gây sửng sốt giới đầu tư.
Bản khảo sát phân tích hoạt động của thị trường chứng khoán trong giờ diễn ra từng trận đấu tại World Cup 2010 tổ chức tại Nam Á, trong đó cho thấy các nhà đầu tư và kể cả giới ngân hàng cũng bị xao nhãng rõ rệt trong thời điểm trận đấu diễn ra.
Cụ thể, hai chuyên gia phân tích số liệu của từng phút giao dịch tại 9 thị trường chứng khoán châu Âu, 4 thị trường tại Nam Mỹ, 1 tại Bắc Mỹ và 1 tại châu Phi, kết quả cho thấy có thể thị trường tài chính được vận hành bởi những cá nhân lý trí nhất, sử dụng thông tin một cách có lợi cho họ nhất, nhưng không phải trong lúc đội bóng ưa thích của họ đang quần thảo trên sân.
Trong mỗi trận có đội nhà đấu, trung bình số lượng giao dịch giảm 45%, tổng lượng giao dịch tụt dốc 55%. Không chỉ vậy, từng tình tiết riêng lẻ trong trận đấu cũng tác động lên thị trường, ví dụ, cứ mỗi lần đội nhà ghi được bàn thắng, lượng giao dịch trượt tiếp thêm 5%.
Thú vị hơn nữa, trong khoảng thời gian trận đấu diễn ra, thị trường nội địa chuyển động lệch pha chút ít so với xu hướng chung trên thị trường quốc tế.
Dưới đây là biểu đồ ghi lại biên độ dao động giãn mạnh của chỉ số S&P 500 trong thời điểm diễn ra World Cup.
![]() |
Trong một báo cáo khác của hai chuyên gia người Isarel - Guy Kaplanski và Haim Levy – lãi suất từ việc đầu tư vào chứng khoán cũng giảm đi trông thấy trong những ngày có trận trong giải.
![]() |
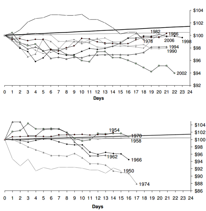
| Tỷ suất lợi nhuận từ khoản đầu tư 100USD trong World Cup các năm. |
Sơ đồ trên mô tả lợi nhuận thu về của một khoản đầu tư trị giá 100USD tại sàn giao dịch NYSE. Trong hai ngày liên tiếp không có trận đấu, tỷ suất lợi nhuận thu về được cho là không đổi, cấu thành đường thẳng đậm biểu thị cho lãi suất phi rủi ro của khoản đầu tư 100USD.
Các đường zig zag ghi lại lãi suất của những ngày có trận đấu và ngày liền kề sau đó, được thống kê trong giai đoạn từ 1950 – 2007, sơ đồ cho thấy trong 12/15 đợt World Cup, tỷ suất lợi nhuận trong hai ngày này thấp hơn so với tỷ suất phi rủi ro, có nghĩa là bạn sẽ thu lãi ít hơn nếu đầu tư 100 USD trong những ngày có trận đấu và ngày tiếp sau đó, so với khi đầu tư vào một trong hai ngày liên tiếp không có trận đá.
Theo một số nhận định, xu hướng trên được cấu thành bởi khả năng các nhà đầu tư thức đêm để xem bóng đá vào ngày trước đó, trở nên mỏi mệt và quyết định nghỉ ngơi bù, kéo theo hoạt động ảm đạm trên thị trường vào ngày hôm sau.
Hiện chưa có chuyên gia nào đưa ra kết luận cụ thể về mối quan hệ tiềm tàng liên đới giữa World Cup và thị trường chứng khoán, nhưng những số liệu thống kê thú vị trên đã khiến nhiều nhà đầu cơ thầm khuyên nhau cảnh giác vào mùa bóng lăn.
Thậm chí tại sàn giao dịch Hongkong, câu nói truyền miệng “Tháng Năm bán rồi sơ tán” đã được sửa thành “Tháng Năm thê thảm, tháng Sáu ảm đạm trước một tháng Bảy tàm tạm”, để vận dụng vào mùa World Cup các kỳ.

