Sáng 31/7, ông Lê Bá Thơm, Phó hiệu trưởng trường THPT chuyên Hoàng Lê Kha (Tây Ninh), cho hay trường có một học sinh vừa tăng điểm sau khi phúc khảo.
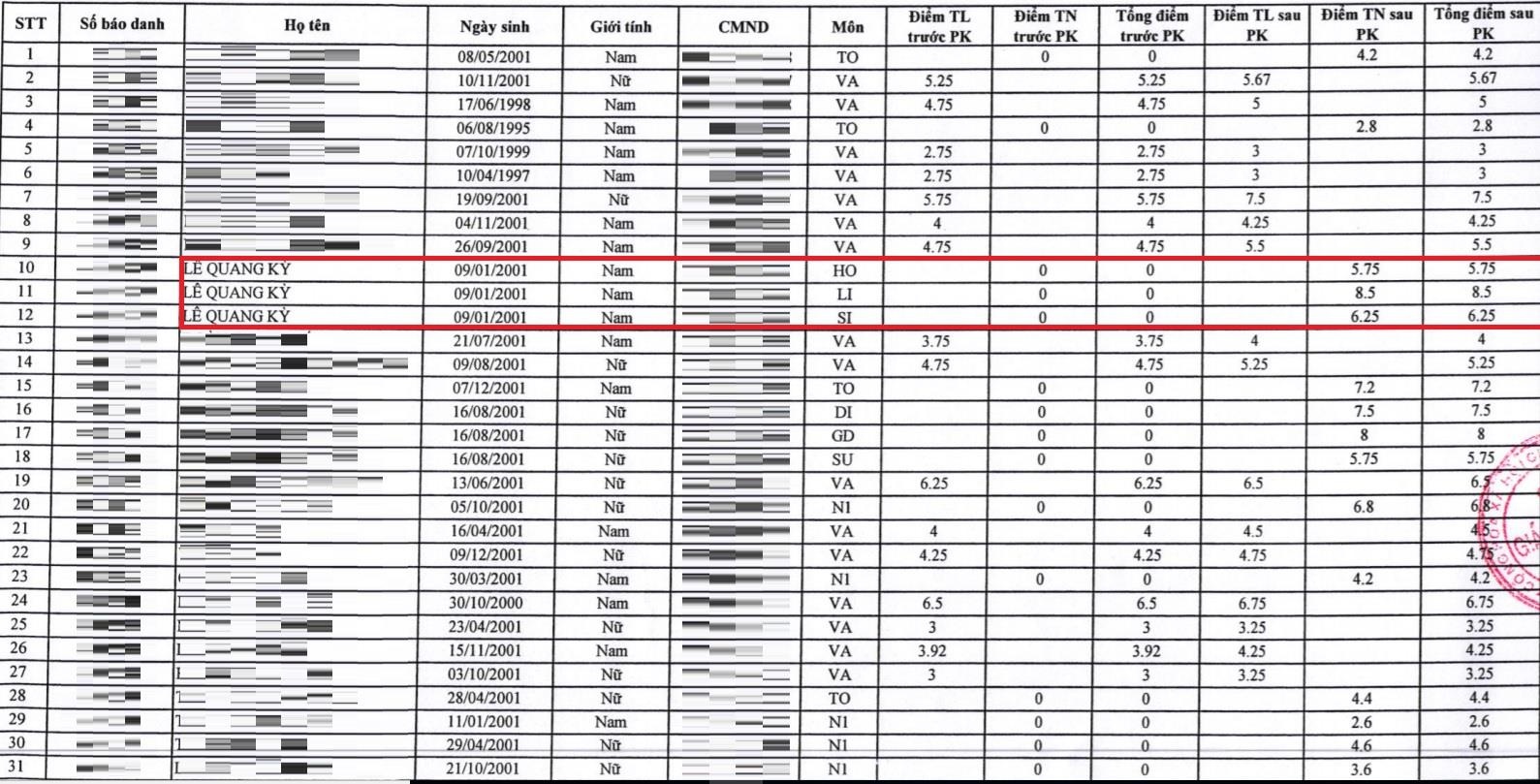
“Trường chuyên Hoàng Lê Kha có em Lê Quang Kỳ, học sinh lớp 12T vừa tăng 20,5 điểm sau phúc khảo. Trước đó, ba môn Lý - Hóa - Sinh, Kỳ đều đạt 0 điểm nên rớt tốt nghiệp. Sau khi phúc khảo, điểm 3 môn đều tăng. Nếu tính theo tổ hợp đăng ký đại học, Kỳ đăng ký khối A01 (Toán, Vật lý, Tiếng Anh), em đạt 26,1 điểm. Trước khi phúc khảo, Kỳ là thí sinh duy nhất tại trường rớt tốt nghiệp THPT", ông Thơm nói.
![]() |
| Điểm số của Lê Quang Kỳ sau phúc khảo. |
Được biết, ngay sau khi công bố điểm thi THPT quốc gia 2019, nhiều thầy cô và bản thân Kỳ rất sốc với điểm thi ba môn Lý, Hóa, Sinh của em (đều 0 điểm). Kỳ là học sinh giỏi cấp quốc gia môn Tin học 2 năm liên tiếp. Sau đó, Sở GD&ĐT Tây Ninh đã gặp gỡ, động viên và cho biết đây là lỗi trong quá trình chấm do bài thi bị tô mờ, tô sai số báo danh, mã đề.
Thầy Thơm thông tin sau khi có điểm phúc khảo, Kỳ đã đậu vào ĐH FPT và nhận được học bổng của trường này.
Giáo viên chủ nhiệm lớp 12 của nam sinh cũng cho hay khi nhận được kết quả thi tốt nghiệp với những con số 0 ở bài thi Khoa học Tự nhiên, cô trò đã trao đổi tại trường.
"Hai cô trò nói chuyện và khẳng định đó là sự nhầm lẫn bởi với sức học của em, điểm số không thể như vậy. Kỳ cũng vững tin, không lo lắng gì nhiều, bởi trước đó, khi so sánh với đáp án của Bộ GD&ĐT, em cũng biết điểm của mình ở mức nào. Kết quả chấm phúc khảo đã cho thấy điều đó”, giáo viên chủ nhiệm của Kỳ nói.
Trong số các thí sinh được phúc khảo của Tây Ninh, Lê Quang Kỳ không phải người có tổng số điểm tăng cao nhất. Thí sinh có tổng số điểm 3 bài thi trong tổ hợp thay đổi nhiều nhất là em T.T. Tổng điểm bài thi tổ hợp Khoa học Xã hội của em này tăng 21,25 điểm sau phúc khảo.
Trước đó, trao đổi với Zing.vn sáng 30/7, ông Nguyễn Hữu Tài, Trưởng phòng Khảo thí - Công nghệ Thông tin, Sở GD&ĐT Tây Ninh, nói kết quả phúc khảo điểm thi THPT quốc gia 2019 trên địa bàn tỉnh cho thấy có 95 bài thay đổi điểm theo hướng tăng lên.
Cụ thể, 62 bài thi trắc nghiệm và 33 bài thi tự luận tăng điểm sau phúc khảo. Trong số 62 bài thi trắc nghiệm, 58 bài thi bị điểm 0. Đáng chú ý có bài thi trắc nghiệm tăng đến 8,75 điểm ở môn Giáo dục Công dân.
Đối với 33 bài thi tự luận, mức chênh lệch sau khi chấm phúc khảo nằm trong khoảng 0,25 đến 1,75 điểm.
Trả lời về vấn đề này, Bộ GD&ĐT cho biết đã phát hiện bất thường trong điểm thi tại Tây Ninh ngay từ khi công bố kết quả thi THPT quốc gia. Bộ GD&ĐT xác định lỗi khiến 58 bài thi bị chấm 0 điểm là do thí sinh tô mờ, tô sai số báo danh hoặc mã đề thi.
