Bạn có thể chuyển sang phiên bản mobile rút gọn của Tri thức trực tuyến nếu mạng chậm. Đóng

Format-Lifestyle

Gợi ý đáp án môn Vật lý tốt nghiệp THPT 2022

Vật lý là môn thành phần trong bài thi tổ hợp Khoa học Tự nhiên. Thí sinh làm bài theo hình thức trắc nghiệm.

dap an mon Vat ly tot nghiep THPT 2022 anh 1
dap an mon Vat ly tot nghiep THPT 2022 anh 2

Thầy Đỗ Quang Ngọc và thầy Trần Văn Quang, giáo viên trường THCS & THPT Lương Thế Vinh (Hà Nội), trao đổi trong quá trình giải đề Vật lý. Ảnh: Thạch Thảo.

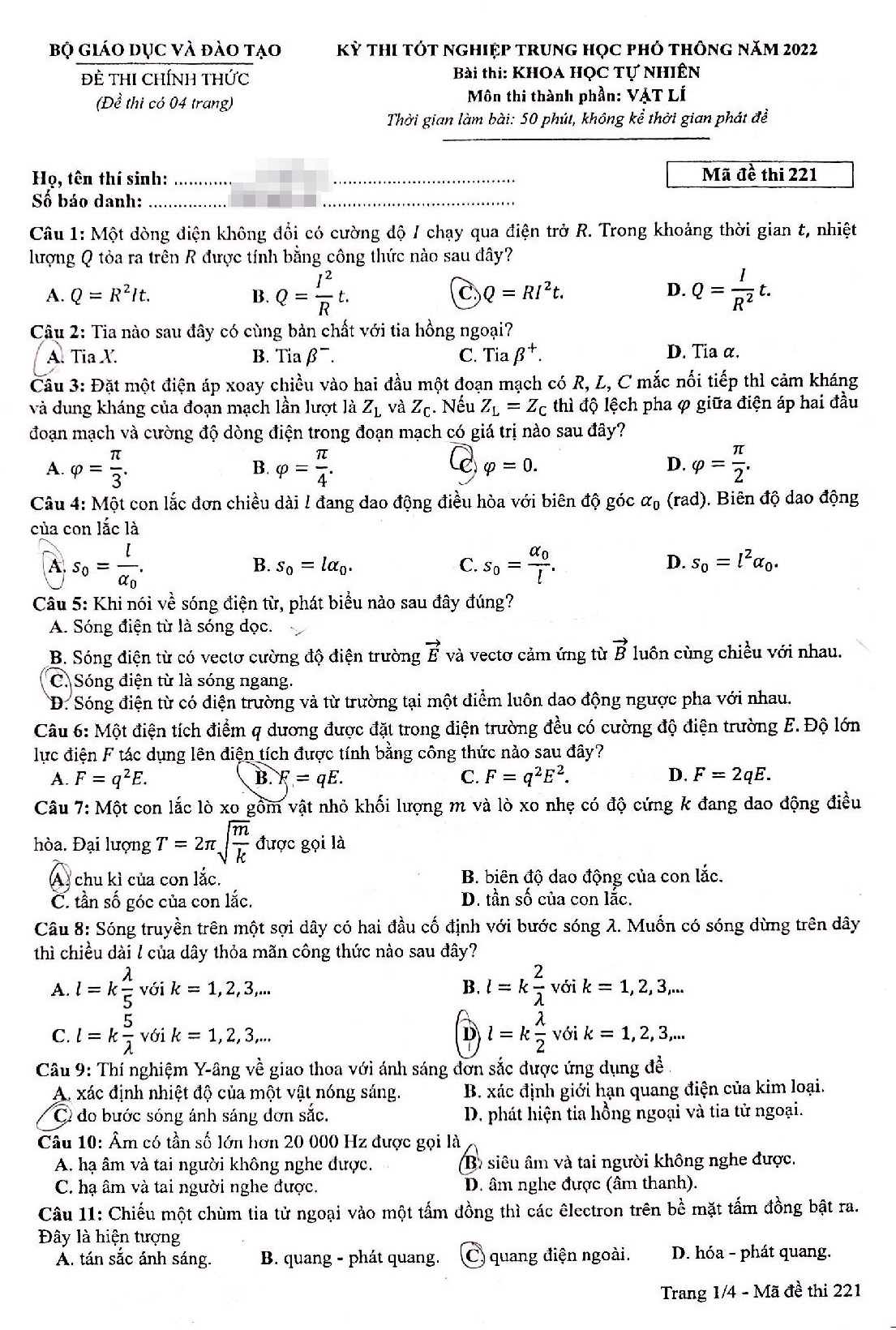
Gợi ý đáp án mã đề 221:


1. C 2. A 3. C 4. B 5. C

6. B 7. A 8. D 9. C 10. B

11. C 12. D 13. B 14. A 15. C

16. C 17. D 18. A 19. C 20. A

21. D 22. A 23. A 24. D 25. D

26. D 27. C 28. A 29. C 30. D

31. D 32. C 33. A 34. D 35. A

36. A 37. A 38. D 39. D 40. C
dap an mon Vat ly tot nghiep THPT 2022 anh 3
dap an mon Vat ly tot nghiep THPT 2022 anh 4
dap an mon Vat ly tot nghiep THPT 2022 anh 5
dap an mon Vat ly tot nghiep THPT 2022 anh 6

Gợi ý đáp án 24 mã đề môn Toán kỳ thi tốt nghiệp THPT 2022

Zing cập nhật gợi ý đáp án của 24 mã đề môn Toán trong kỳ thi tốt nghiệp THPT 2022.

Nhóm PV

Đồ họa: Hina

Bạn có thể quan tâm