Rhett Allain, phóng viên của Wired, một người tuy bận rộn nhưng vẫn luôn tìm kiếm những thứ kỳ quặc trên Internet và dùng khoa học để chứng minh xem nó thật hay chỉ là giả mạo.
Trong một đoạn video đăng tải trên mạng, Rhett bắt gặp một chiếc máy bay điều khiển từ xa chở một người trưởng thành trên một chiếc võng. Theo Rhett, người trên chiếc võng là hình nộm nhưng anh ta sẽ vẫn dùng khoa học để chứng minh điều đó.
Nguyên lý hoạt động của drone
Không thể chứng minh rằng video trên là giả mạo nếu như không biết drone hoạt động như thế nào. Đặc biệt là làm thế nào để nó có thể bay khỏi mặt đất.
Nhắc đến drone hầu hết mọi người đều nghĩ đến một thiết bị điều khiển từ xa với bốn cánh (quadcopter). Về mặt kỹ thuật, một chiếc drone có thể có số lượng cánh bất kỳ, nhưng số cánh chẵn sẽ giúp nó dễ điều khiển hơn.
Bây giờ hãy tập trung vào các rotor (cánh quạt). Chìa khóa để một chiếc drone cất cánh nằm ở bộ phận này. Công việc chính của cánh quạt là đẩy không khí từ phía trên máy bay xuống dưới với tốc độ cực nhanh. Diện tích cánh quạt càng lớn thì lượng không khí bị đẩy càng nhiều.
![]() |
| Công việc chính của cánh quạt là đẩy không khí từ phía trên máy bay xuống dưới với tốc độ cực nhanh. Ảnh: Wired. |
Khối lượng không khí được đẩy xuống phụ thuộc vào mật độ không khí và kích thước của các cánh quạt. Không khí bị đẩy xuống với một vận tốc nào đó hình thành xung lực.
Xung lực tính bằng công thức khối lượng không khí nhân với vận tốc đẩy không khí tạo ra bởi cánh quạt.
Ngoài ra, drone còn chịu lực hút trái đất kéo nó xuống. Nếu như xung lực nó tạo ra bằng hoặc lớn hơn trọng lực của drone, nó sẽ cất cánh.
Cuối cùng là tổng diện tích của cánh quạt rất quan trọng. Tùy thuộc vào trọng lượng của drone, bạn có hai lựa chọn: một là cánh quạt to hơn với tốc độ quay chậm hơn, hai là cánh quạt nhỏ hơn cùng vận tốc quay nhanh hơn.
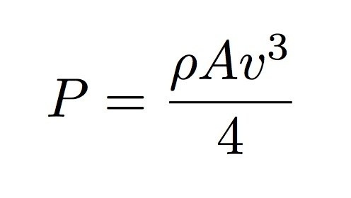
Trong biểu thức dưới đây, công suất (P) phụ thuộc vào mật độ không khí (ρ), diện tích cánh quạt (A) và tốc độ đẩy không khí (v). Đây chỉ mới là công thức lý thuyết để tính được lực để drone lơ lửng. Nếu muốn di chuyển nó cần thêm một nguồn năng lượng nữa như trớn cất cánh chẳng hạn.
![]() |
| Công suất lý thuyết để thiết bị bay cất cánh được tính dựa vào tốc độ đẩy không khí, mật độ không khí và diện tích cánh quạt. |
Rhett thừa nhận anh ta không có nhiều kiến thức về máy bay và khí động học, vì vậy anh quyết định tìm hiểu nó qua Wikipedia. Có rất nhiều thiết bị bay được liệt kê trên đó và kết quả Rhett nhận được là một bảng thông tin về lực lý thuyết mà thiết bị bay có thể cất cánh và những mức lực trong trường hợp thực tế.
Biểu đồ dưới đây cho thấy các thiết bị bay có cất cánh được hay không phụ thuộc vào nhiều yếu tố. Những tính toán về lực mà Rhett thực hiện bên trên đều không thể áp dụng vào thực tế được.
![]() |
| Biểu đồ cho thấy công suất thực tế và công suất lý thuyết có nhiều chênh lệch theo từng thiết bị bay. Điều này cho thấy một vật có thể bay còn phụ thuộc vào nhiều yếu tố khác. |
Drone có thể nâng được bao nhiêu?
Về mặt lý thuyết, một chiếc máy bay không người lái có thể nâng bất kỳ khối lượng nào. Tuy nhiên trong thực tế, có hai hạn chế. Thứ nhất, tốc độ không khí tối đa có thể là khoảng 40 m/s. Thứ hai, nếu chiếc drone có công suất quá lớn, nó sẽ không đủ năng lượng để bay lâu.
Theo tìm hiểu của Rhett, thiết bị bay trong video này có thể là DJI-S800. Từ sơ đồ thiết kế anh xác định bán kính cánh quạt của nó là 0,188 mét. Tổng diện tích cánh (6 cánh) là 0,67 mét vuông.
Giả sử tổng số khối lượng drone và người là 70 kg thì tốc độ đẩy cần thiết để di chuyển là 43 m/s. Áp dụng công thức Rhett tính được cần một động cơ có công suất 14,8 kW mới có thể nâng một khối lượng như vậy. 14,8 kW là một con số vô cùng lớn. Một ngôi nhà bình thường chỉ tiêu tốn 3 kW điện.
Nếu thay thế một mô hình người giả có khối lượng chỉ 5 kg, thì năng lượng giảm xuống còn 280 W. Điều này hợp lý hơn nhiều.
Chiếc drone có thể tải người thật sẽ như thế nào?
Đây là một chiếc drone khác và nó đang chở người thật. Điều này có thể là sự thực.
Sự khác biệt nằm ở diện tích cánh quạt của nó lớn hơn rất nhiều. Không biết chính xác là bao nhiêu cánh quạt nhưng theo Rhett ước lượng diện tích của nó khoảng 4 mét vuông. Với diện tích cánh quạt lớn hơn đồng nghĩa với việc tốc độ đẩy được giảm xuống khiến lượng điện năng tiêu thụ thấp hơn.
Cụ thể, chiếc drone này có tốc độ đẩy không khí là 16,9 m/s và có công suất 5,8 kW. Nó vẫn là công suất lớn nhưng thấp hơn đáng kể so với chiếc drone tha theo một anh chàng nằm võng kia.
Tóm lại, cánh quạt càng to càng tốt.


