Theo thống kê từ trang Phone Arena, đến tận năm 2013, kích thước trung bình của smartphone vẫn chỉ ở mức 4,38 inch. Tuy nhiên, hơn phân nửa thiết bị bán tốt tại Việt Nam hiện nay có màn hình trên 4,5 inch. Tương tự, đến 2014, kích thước trung bình của màn hình smartphone đã tăng lên đến 4,86 inch.
![]() |
| Màn hình điện thoại ngày càng mở rộng. Ảnh: PhoneArena. |
Theo báo cáo của Cnet năm 2014, thế giới đã ưa chuộng điện thoại màn hình lớn hơn, bắt nguồn từ dòng Note của Samsung, bởi màn hình lớn giúp các hoạt động trên điện thoại hiệu quả, đặc biệt là xem phim hay chơi game. Các thiết bị màn hình lớn cũng đồng nghĩa với pin tốt hơn.
Trả lời Cnet, Samsung cũng cho biết Galaxy Note thu hút trước tiên là nhóm người dùng ở châu Á, những khách hàng muốn nhận được ích lợi của tablet nhưng không muốn mua 2 thiết bị. Vì thế, họ chọn mua những sản phẩm “phablet” - thuật ngữ lai giữa phone và tablet - với màn hình ở khoảng 5,3 inch.
Tháng 1/2015, báo cáo của Juniper Research dự đoán khoảng 400 triệu thiết bị phablet sẽ được bán ra vào năm 2019.
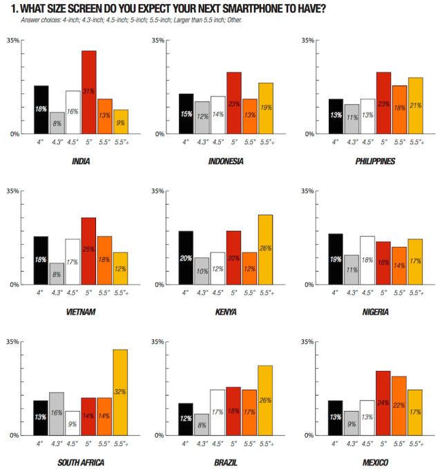
![]() |
| Người dùng Việt Nam ưa chuộng thiết bị từ 5 inch trở lên. |
Tại Việt Nam, tình hình cũng tương tự. Một cuộc khảo sát của công ty di động Jana cho thấy, đa phần người Việt thích các sản phẩm 4,5 inch trở lên, và nhu cầu sử dụng di động như công cụ giải trí tại Việt Nam cũng cao hơn so với các thị trường đang lên khác.
![]() |
| So với các thị trường mới nổi khác, người Việt Nam ưa chuộng dùng smartphone cho mục đích giải trí, video hơn. |
Điện thoại màn hình nhỏ dần biến mất, nhất là sau khi Apple ra mắt dòng iPhone 6. Các hãng tung ra điện thoại lớn ở mọi nhóm sản phẩm, ngay cả các tên tuổi mới.
Theo ông Mai Triều Nguyên - Giám đốc chuỗi Mai Nguyên, vẫn còn nhóm khách hàng ưa chuộng thiết bị gọn, ổn định, nhưng họ có ít lựa chọn.
“Các thiết bị từ 4,5 inch bán rất ít và chậm, chỉ các sản phẩm từ 5 inch trở lên mới bán tốt. Các hãng cũng dần nâng màn hình lên 5 inch, các model rẻ có màn hình 4-4,5 inch dành cho phân khúc bên dưới. Khách hàng chính của phân khúc này là người dùng mới, những người thường có xu hướng chọn các sản phẩm màn hình lớn. Do đó, thiết bị nhỏ hơn 4,5 inch còn rất ít đất sống”.
![]() |
| Thiết bị màn hình nhỏ vẫn rất ít đất sống, dù chúng có cấu hình cao như Z5 Compact. Ảnh: R
ecenzja . |
Tương tự, theo anh Lê Xuân Tình, chủ cửa hàng trên đường Lê Hồng Phong, quận 10, TP HCM, màn hình nhỏ không còn là xu hướng, dù được trang bị cấu hình cao cũng không đủ sức thu hút người dùng.
“Màn hình nhỏ không còn được ưa chuộng như trước đây. Đa số các dòng điện thoại hiện tại đều có màn hình tầm 4,7 - 5 inch. Các dòng compact như Z5 compact không được ưa chuộng vì màn hình nhỏ”, anh Tình cho biết. “Bản thân tôi đã xài màn hình lớn, khi xuống màn hình nhỏ cảm thấy rất khó chịu”.
Tuy vậy, nhóm màn hình nhỏ vẫn có người dùng nhất định. Đó là những người có điều kiện, cần thêm một thiết bị ổn định, gọn gàng. Với mức tiền khoảng 10 triệu, không dễ có một thiết bị 4 inch đáng dùng.
Ông Mai Triều Nguyên cho biết, hiện tại, đa số điện thoại từ 4 inch đều là dòng thấp, chỉ riêng iPhone 5S vẫn được yêu thích. Với trường hợp iPhone SE, miễn có giá hợp lý, sản phẩm này sẽ thắng. Có thể các hãng khác ra điện thoại 4 inch sẽ không ai dùng, nhưng Apple thì khác. SE sẽ dành cho đối tượng những người có điều kiện, những khách làm ăn cần sự ổn định, không hướng tới những người mới dùng. Các sản phẩm Android hiện tại có quá nhiều đối thủ, quá nhiều sự lựa chọn, trong khi mức giá lại cao, đó là phân khúc Apple đang chiếm đóng. Ở tầm giá khoảng 10 triệu, người dùng bình thường khó lòng chọn một thiết bị 4 inch. SE thích hợp hơn với vai trò một chiếc máy thứ hai.
![]() |
| iPhone SE sẽ có lợi thế và nhóm người dùng nhất định, nhưng giá bán là điều Apple cần cân nhắc để sản phẩm này thành công. Ảnh: Duy Tín. |
Apple tung ra sản phẩm iPhone SE để thay thế 5S và lấp vào khúc trống. Hiện tại, không có đối thủ 4 inch nào trong nhóm Android đủ sức mạnh để cạnh tranh.
Tất nhiên, giá bán cũng là điều các hãng cần tính toán. Bài học Z5 Compact nhỏ, mạnh nhưng thất bại vì giá cao, nhiều cạnh tranh với cùng giá tiền cho thấy điều đó. Theo ông Nguyên, mức giá khoảng 10 triệu đồng có thể sẽ giúp SE bán tốt, nhưng nếu iPhone SE về nước với giá 12-13 triệu đồng, rất khó dự đoán thành công của sản phẩm này.




