Điểm trúng tuyển cao nhất của ĐH An Giang là 20,25 thuộc về ngành GD tiểu học. Các ngành còn lại của hệ đại học có điểm chuẩn dao động từ 14-19,25.
![]() ![]() |
| Điểm trúng tuyển của ĐH An Giang 2018 hệ đại học và cao đẳng. |
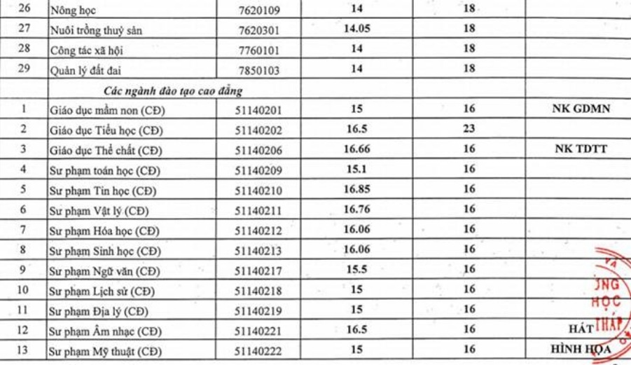
ĐH Đồng Tháp cũng vừa công bố điểm chuẩn của 29 ngành thuộc hệ đại học và 13 ngành thuộc hệ cao đẳng. Điểm trúng tuyển các ngành thuộc hệ đại học là từ 14-19,65, cụ thể như sau:
![]() ![]() ![]() |
| Điểm chuẩn năm 2018 của ĐH Đồng Tháp. |




