Bạn có thể chuyển sang phiên bản mobile rút gọn của Tri thức trực tuyến nếu mạng chậm. Đóng

Đề và gợi ý đáp án môn Toán kỳ thi tuyển sinh lớp 10 ở Hà Nội

Sáng 18/7, gần 89.000 thí sinh ở Hà Nội làm bài thi môn Toán. Đây là buổi thi cuối cùng của những em không đăng ký vào trường chuyên.

Đề Toán như sau:

De Toan ky thi tuyen sinh vao lop 10 cong lap anh 1

Nguyễn Lê Vy, học sinh trường THCS Nguyễn Trãi, Hà Nội, nhận xét đề không khó, chỉ có câu 5 em không làm được.

Nguyễn Đức Thắng (THCS Định Công) cũng đánh giá đề vừa sức, nằm trong chương trình tinh giản, không có câu gây bất ngờ.

Thầy Hồng Trí Quang - giáo viên Hệ thống Giáo dục HOCMAI - cho biết đề thi nhẹ nhàng, phổ điểm sẽ cao. Cụ thể, cấu trúc đề thi từ bài 1-4 giống đề năm 2019, nhưng không thấy xuất hiện đồ thị hàm bậc hai, cũng như tam thức bậc hai.

Theo thầy Quang, đây là đơn vị kiến thức rất quan trọng trong chương trình học kỳ 2 nhưng có thể ảnh hưởng của dịch Covid-19 nên không được đưa vào đề thi. Bài số 5 về phương trình vô tỉ nhưng vẫn dùng kiến thức về bất đẳng thức như các năm trước.

"Đề thi mới có ứng dụng thực tế của hình không gian mà chưa mạnh dạn cho nhiều bài toán ứng dụng thực tế hơn. Ví dụ, bài toán về ứng dụng của hàm số, các bài toán về tài chính. Những bài toán này xuất hiện nhiều trong cuộc sống và hy vọng rằng đề thi năm sau sẽ có nhiều sự đổi mới hơn", thầy Quang đánh giá.

Giáo viên này nói thêm đề Toán đảm bảo kiến thức theo chương trình tinh giản của Bộ GD&ĐT. Độ khó giảm, phổ điểm năm nay sẽ cao hơn, phổ biến ở mức 7-8 điểm.

Thầy Nguyễn Mạnh Cường cũng cho rằng đề nhẹ nhàng hơn so với các năm trước, phù hợp đa số học sinh. Thầy dự đoán sẽ có nhiều điểm cao và phổ điểm khoảng 7,5 - 8.

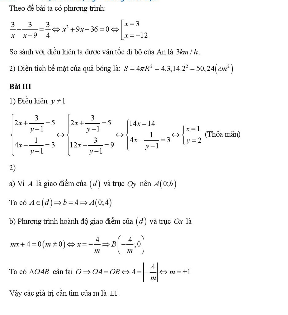
Giáo viên tại Hệ thống Giáo dục HOCMAI đưa ra gợi ý đáp án như sau:

De Toan ky thi tuyen sinh vao lop 10 cong lap anh 2
De Toan ky thi tuyen sinh vao lop 10 cong lap anh 3
De Toan ky thi tuyen sinh vao lop 10 cong lap anh 4

2K5 đi thi, tầm nhìn không dừng lại ở trường chuyên lớp chọn

Những thí sinh thế hệ 2005 đi thi không chỉ với quyết tâm đỗ trường chuyên, mà còn mang theo dự định về việc du học trong tương lai để chọn ngôi trường phù hợp bản thân.

Nguyễn Sương

Bạn có thể quan tâm