Bạn có thể chuyển sang phiên bản mobile rút gọn của Tri thức trực tuyến nếu mạng chậm. Đóng

Đề thi và gợi ý đáp án môn Toán tuyển sinh lớp 10 ở Hà Nội

Thí sinh thi vào lớp 10 ở Hà Nội vừa hoàn thành môn thi cuối cùng.

Thí sinh rạng rỡ rời khỏi phòng thi. Ảnh: Thế Bằng.

Đề thi như sau:

dap an Tieng Anh anh 1

Một số thí sinh nhận xét đề Toán không khó nhưng có tính phân hóa. Ảnh: Hòa Bình La Trobe School.

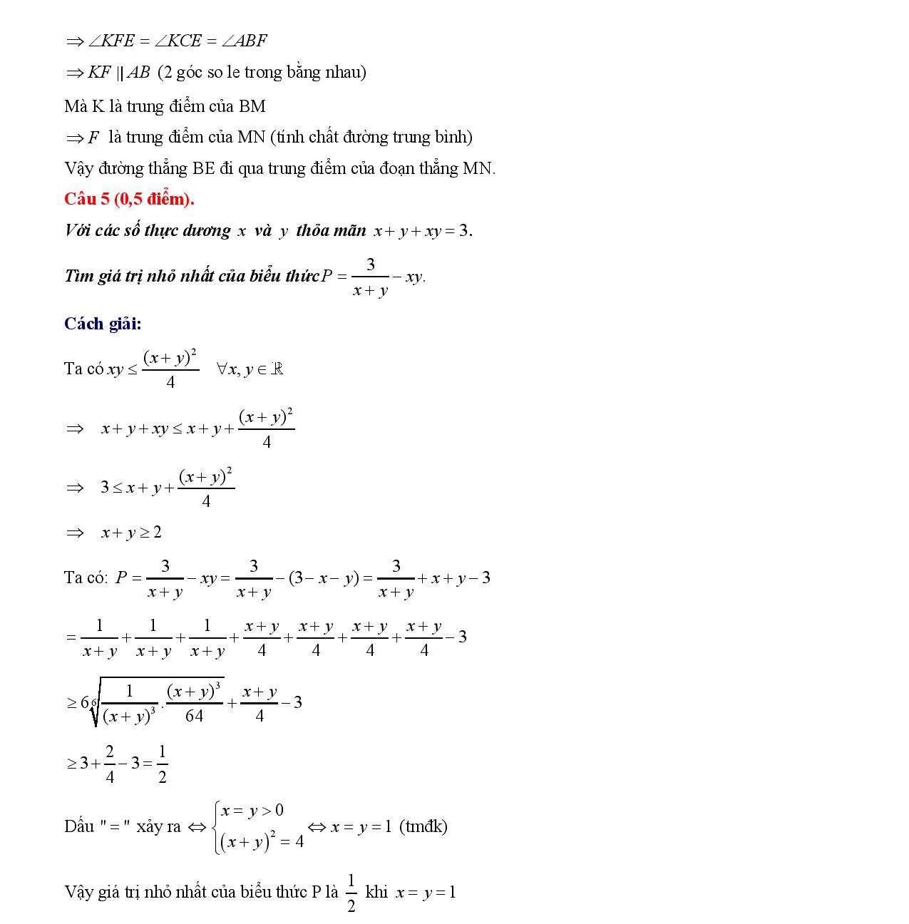
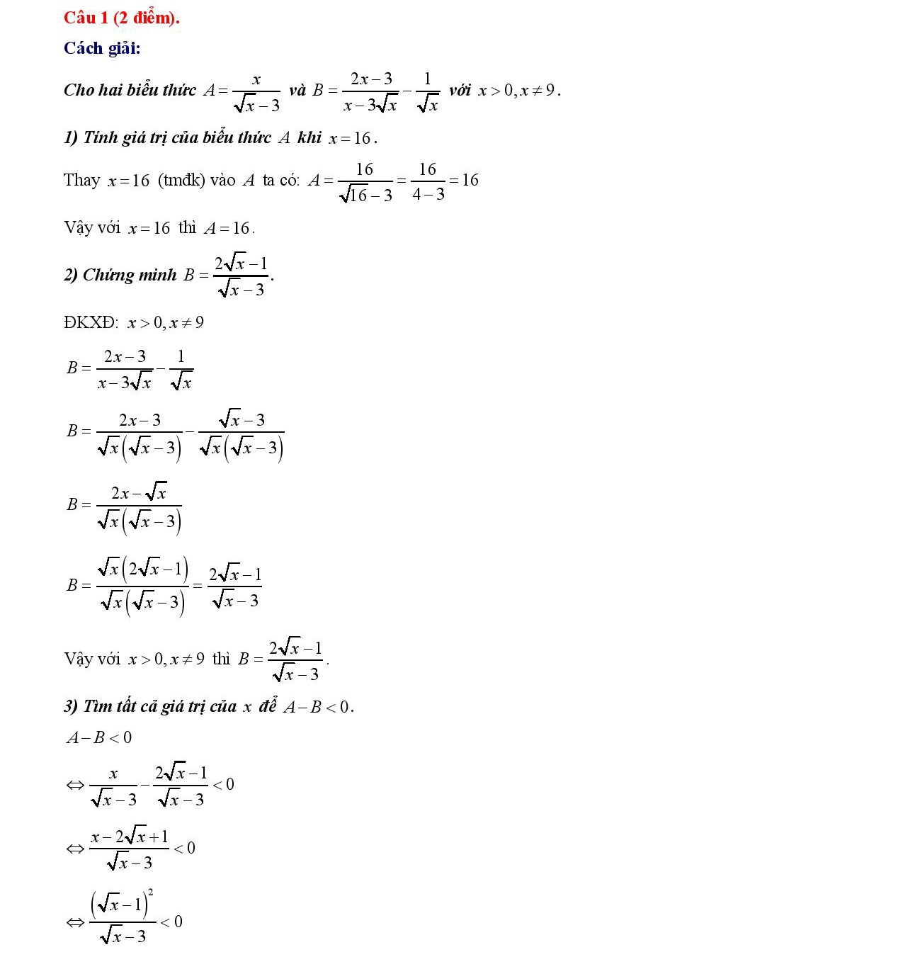
Gợi ý đáp án môn Toán

Tri Thức - Znews giới thiệu gợi ý đáp án môn Toán tuyển sinh vào lớp 10 ở Hà Nội do giáo viên tại Tuyensinh247 thực hiện:

dap an Tieng Anh anh 2

dap an Tieng Anh anh 3

dap an Tieng Anh anh 4

dap an Tieng Anh anh 5

dap an Tieng Anh anh 6

dap an Tieng Anh anh 7

Đề thi có tính phân hóa

Rời khỏi điểm thi trường THCS Việt Nam - Angieri, Dương Nguyễn Bảo An (học sinh trường THCS Nhân Chính) tự tin nói “em đỗ rồi”.

Chia sẻ với Tri Thức - Znews, Bảo An nhận xét đề thi Toán năm nay vừa sức với em. Tuy nhiên, em không làm được câu 5 và ý 3 trong câu 4. Nữ sinh đánh giá đây là hai câu hỏi giúp phân hoá thí sinh. Bạn nào học giỏi sẽ làm được.

“Kết thúc môn thi cuối, em như trút bỏ gánh nặng nhiều tháng nay. Em đăng ký nguyện vọng 1 vào trường THPT Trần Hưng Đạo (Thanh Xuân) và tự tin đỗ rồi”, Bảo An nói.

Tương tự, Khánh Chi (học sinh trường THCS Nguyễn Trãi) cũng bị làm khó bởi 2 câu cuối bài hình và bài cuối. Chi cho biết em làm được bài, song vẫn chưa ưng ý lắm. Em tự tin được trên 8 điểm ở môn này.

“Đề thi có tính phân hóa, nội dung kiến thức cũng nằm trong những gì em được học và ôn tập”, Chi nói.

Trong khi đó, em Nguyễn Gia Linh (học sinh trường THCS Trung Văn) bày tỏ tiếc nuối khi làm sai ý b, câu 2. Nữ sinh chia sẻ nếu làm đúng, em sẽ được thêm 0,25 điểm. Dù vậy, Linh đánh giá với 2 môn Ngữ văn và Tiếng Anh làm bài tốt, em sẽ đỗ nguyện vọng 1.

“Nhìn chung đề thi môn Toán năm nay không khó, tương tự các đề thi em được ôn tập”, Linh nói.

ThS Trịnh Thu Vân, Tổ trưởng tổ Toán trường THPT Hoà Bình - La Trobe - Hà Nội, cũng đánh giá mức độ các câu hỏi trong đề thi hợp lý, đảm bảo tính phân loại học sinh ở ý 3 bài hình học và bài toán số 5.

Cô nói thêm đề thi vẫn đảm bảo 4 mức độ nhận thức: Nhận biết (2 điểm), Thông hiểu (3,5 điểm), Vận dụng thấp (3,5 điểm), Vận dụng cao (1 điểm).

Tổng thể, cô Thu Vân cho rằng với đề thi này, học sinh trình bày chính xác, xét đầy đủ các trường hợp xảy ra, tính toán cẩn thận để tránh mất điểm đáng tiếc.

"Học sinh có học lực khá có thể đạt 7-8,5 điểm. Những em có học lực giỏi có thể đạt từ 8,5 điểm trở lên", ThS Trịnh Thu Vân nhận định.

Kỳ thi vào lớp 10 công lập ở Hà Nội diễn ra trong hai ngày 8-9/6. Hôm nay, thí sinh hoàn thành xong bài thi Ngữ văn và Tiếng Anh. Sáng 9/6, thí sinh tiếp tục bước vào bài thi môn Toán.

Năm học 2023-2024, Hà Nội dự kiến có 133.000 học sinh xét tốt nghiệp THCS. Khoảng 81.200 học sinh sẽ trúng tuyển vào các trường THPT công lập, tỷ lệ khoảng 61%. Số còn lại sẽ trúng tuyển vào các trường THPT tư thục, trung tâm giáo dục nghề nghiệp - giáo dục thường xuyên, cơ sở giáo dục nghề nghiệp.

Những cuốn sách dành cho người đứng trước cánh cửa nghề nghiệp

Mục Giáo dục giới thiệu đến bạn đọc một số cuốn sách về chủ đề nghề nghiệp, hướng nghiệp, dành cho những bạn trẻ đang băn khoăn trước cánh cửa nghề nghiệp hay người trưởng thành quan tâm đến sự biến đổi nghề nghiệp trong xã hội hiện đại.

Chiến đạo giống cuộc đối thoại, gợi mở các câu hỏi của cuộc đời, giúp người trẻ chủ động định hướng nghề nghiệp, kiến tạo tương lai.

Eight - 8 cách làm chủ trí thông minh nhân tạo: “Đa số công việc mà công viên chức đang phụ trách cuối cùng đều sẽ bị thay thế bởi trí thông minh nhân tạo", cuốn sách này sẽ giải đáp câu hỏi đó.

Giáo viên đến tận điểm thi trao cái ôm động viên sĩ tử

Trước điểm thi, nhiều phụ huynh, giáo viên trao những cái ôm, nắm tay để tiếp thêm động lực tinh thần cho các sĩ tử Hà Nội có một kỳ thi thành công.

Ngọc Bích

Bạn có thể quan tâm