Xem đề thi và gợi ý đáp án môn Văn TẠI ĐÂY
Xem đề thi và gợi ý đáp án môn Vật lý TẠI ĐÂY
Xem đề thi và gợi ý đáp án môn Lịch sử TẠI ĐÂY
Dưới đây là đề thi tốt nghiệp môn Toán và gợi ý đáp án do thầy Nguyễn Thành Long và Lưu Nam Phát (Trung tâm luyện thi Vĩnh Viễn, TP.HCM) thực hiện:
Thí sinh có thể tải gợi ý đáp án dạng file PDF Tại đây:
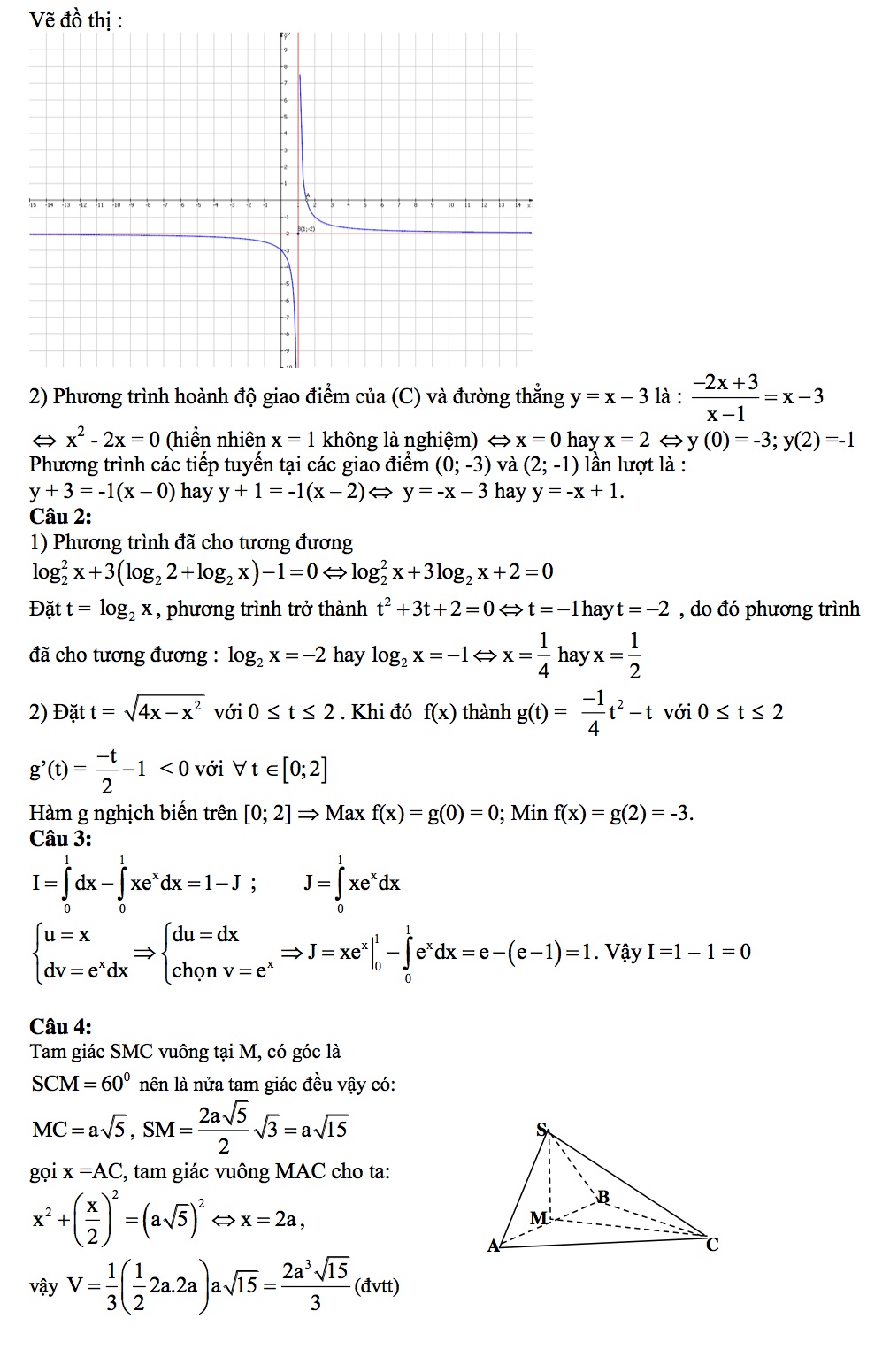
![]() |
![]() |
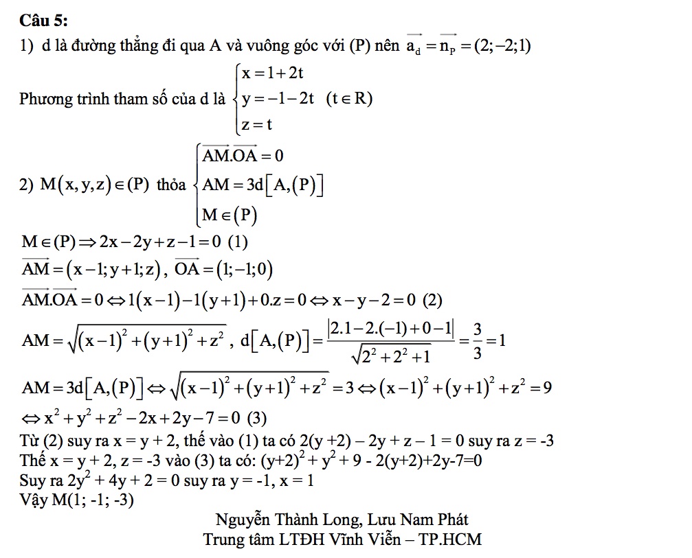
![]() |


