Bạn có thể chuyển sang phiên bản mobile rút gọn của Tri thức trực tuyến nếu mạng chậm. Đóng

Format-Lifestyle

Đề thi và gợi ý đáp án môn Toán kỳ thi tốt nghiệp THPT 2022

Chiều 7/7, thí sinh hoàn thành bài thi môn Toán. Đây là môn thi thứ 2 trong kỳ thi tốt nghiệp THPT năm 2022.

Gợi ý đáp án môn Toán

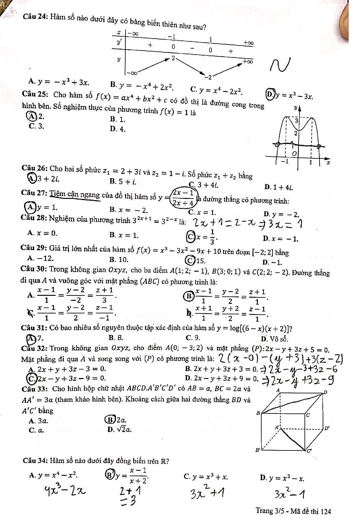
Mã đề 124:

1. A 2. C 3. B 4. A 5. B
6. A 7. D 8. D 9. B 10. D
11. D 12. B 13. A 14. C 15. B
16. B 17. D 18. D 19. A 20. C
21. A 22. B 23. C 24. D 25. A
26. A 27. A 28. C 29. C 30. B
31. A 32. C 33. A 34. C 35. D
36. A 37. D 38. C 39. D 40. B
41. C 42. D 43. D 44. C 45. D
46. D 47. D 48. B 49. B 50. C
De thi mon Toan tot nghiep THPT anh 1

Gợi ý đáp án môn Toán do thầy Lê Văn Cường (THCS & THPT Lương Thế Vinh, Hà Nội) thực hiện trực tiếp tại tòa soạn Zing.

Đề thi môn Toán mã đề 124:

De thi mon Toan tot nghiep THPT anh 2
De thi mon Toan tot nghiep THPT anh 3
De thi mon Toan tot nghiep THPT anh 4
De thi mon Toan tot nghiep THPT anh 5
De thi mon Toan tot nghiep THPT anh 6

Đề Toán phân hóa tốt

Nhận xét đề thi Toán năm nay, nhiều thí sinh cho rằng đề thi có sự phân hóa tốt. Em Nguyễn Quang Huy (trường THPT Nhân Chính, Hà Nội) cho rằng đề thi phân hóa rõ. Nam sinh này cho hay với đề thi này, việc lấy điểm 8 không khó song thí sinh cần học sâu mới đạt điểm 9, 10.

Nam sinh tự tin đạt điểm trên 9 nhưng thời gian làm bài không dư nhiều, chỉ có 5 phút để soát lại bài. Đây vốn là môn khiến em lo nhất. Nhưng sau ngày thi đầu tiên, Quang Huy cảm thấy yên tâm hơn.

Thí sinh Trần Quang Huy (trường THPT Huỳnh Thúc Kháng) cũng yên tâm sau khi hoàn thành môn Toán. Nam sinh nhận xét đề không khó, dễ lấy 8-9 điểm. Em dùng kết quả thi môn này để xét tuyển theo khối D.

Đây cũng là tâm trạng của em Khánh An (THPT Lương Thế Vinh) sau buổi thi môn Toán. Khánh An là thí sinh đầu tiên ra khỏi điểm thi THCS Võ Trường Toản (quận 1, TP.HCM). Em cho biết bản thân hài lòng với bài làm của mình.

Nữ sinh đánh giá đề Toán có sự phân hóa học sinh, giữa những bạn chỉ dùng điểm xét tốt nghiệp và các bạn muốn xét tuyển đại học. Khánh An nhận xét phần hình học khó nhất. Em thừa nhận đánh bừa một số câu cuối vì không đủ thời gian.

Tương tự, Phạm Thị Minh Hà (thí sinh tại điểm thi THCS Thanh Xuân) cho hay phần khó của đề rơi vào câu 40 trở đi. Nữ sinh tự tin đạt 8,2 điểm.

Thí sinh Trần Thành Hưng (điểm thi THCS Thanh Xuân, Hà Nội) cũng đánh giá đề có sự phân hoá cao, cụ thể ở 5 câu cuối. Nam sinh tự tin làm được 85% đề thi Toán nhưng không thừa thời gian.

Với Trần Trọng Hưng (THPT chuyên Khoa học Tự nhiên, Hà Nội) phần khó nằm từ câu 42 trở đi. Em tin mình đạt điểm tốt nhưng vẫn thất vọng vì đăng ký nguyện vọng 1 vào ĐH Kinh tế Quốc dân, tức em cần trung bình 8,5 điểm/môn để có cơ hội trúng tuyến. Dự đoán bản thân được 8 điểm môn Toán, nam sinh lo lắng và thừa nhận cần cố gắng thêm ở các môn sau.

Trong khi đó, chỉ thi Toán để lấy điểm xét tốt nghiệp, tức môn này không phải là trọng tâm ôn thi, em Giang Lý Tiến Đạt (Nhạc viện TP.HCM) vẫn cảm thấy đề Toán không quá khó, vừa tầm với người không xét tuyển đại học bằng điểm Toán như em.

“Từ câu 30 trở đi, độ khó nâng cao dần. Em cố gắng làm tốt nhất có thể nhưng nhiều câu vượt quá tầm. Em làm xong sớm khoảng 15 phút và tự tin mình làm đúng khoảng 70% số câu”, Tiến Đạt chia sẻ và cho biết sáng 8/7, em sẽ tham gia thi hai môn Lịch sử, Địa lý.

Nhiều thí sinh thoải mái sau khi hoàn thành môn Ngữ văn

Bước ra khỏi phòng thi môn Ngữ văn, đa số thí sinh đều khá thoải mái và vui vẻ. Nhiều sĩ tử chia sẻ đề Văn không khó và tự tin đạt 7-8 điểm.

Nhóm PV

Đồ họa: Hina

Bạn có thể quan tâm