Bạn có thể chuyển sang phiên bản mobile rút gọn của Tri thức trực tuyến nếu mạng chậm. Đóng

Đề thi và gợi ý đáp án môn Toán khối B, D

Sáng nay (9/7), thí sinh khối B, D đã kết thúc bài làm môn đầu tiên - Toán học. Dưới đây là đề thi và gợi ý đáp án môn này.

Hàng loạt thí sinh tá hỏa vì nhầm môn Toán thành Văn

Xem đề thi và gợi ý đáp án môn Địa khối C

Xem đề thi và gợi ý đáp án môn Lịch sử khối C

Xem đề thi và gợi ý đáp án môn Tiếng Anh khối D

Xem đề thi và gợi ý đáp án môn Sinh học khối B

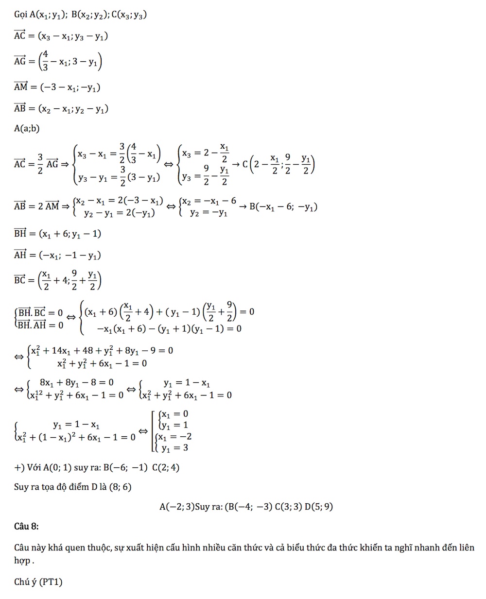
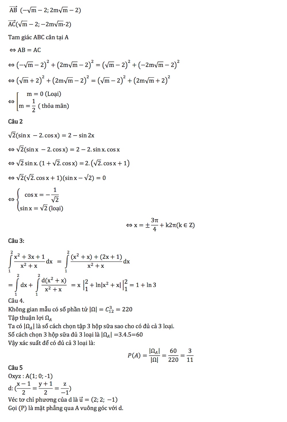
Gợi ý lời giải môn Toán do các thủ khoa của GSTT Group thực hiện. (Trần Trí Kiên - Giải nhì quốc gia Toán, Lương Văn Thiện: Sáng lập viên GSTT GROUP, Tống Quốc Kỳ: Thủ khoa học viên bưu chính viễn thông, Vũ Huy Hùng - đại học Ngoại thương - 28 điểm khối A, Doãn Trung San - thủ khoa Dược HN 2012, 29 điểm khối B, Mai Văn Chinh: 2 điểm 10 Toán duy nhất cả nước 2012, Nguyễn Thanh Long - thủ khoa ĐH Dược 2012. Nguyễn Anh Văn: sinh viên đại học Y Huế, Bùi Văn Cường - SV hệ tài năng - Bách khoa Hà Nội, Nguyễn Đinh Thành Công, ĐH Ngoại thương).

THÍ SINH CÓ THỂ TẢI FILE GỢI Ý ĐÁP ÁN MÔN TOÁN KHỐI D tại đây

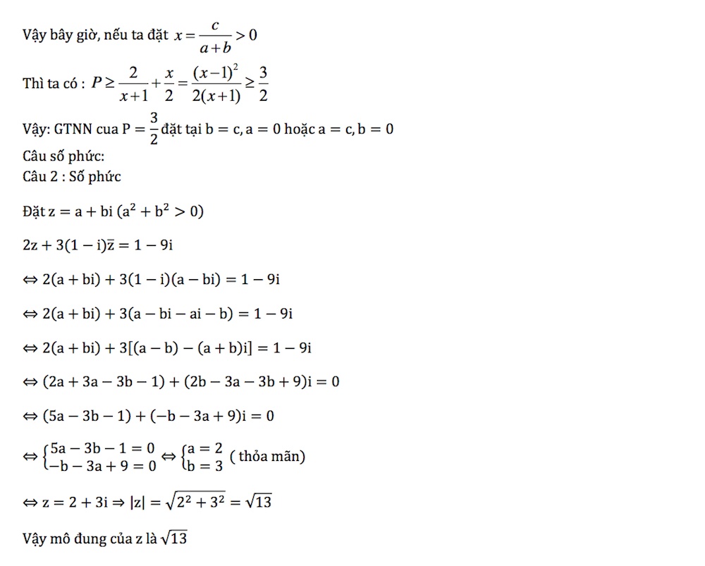
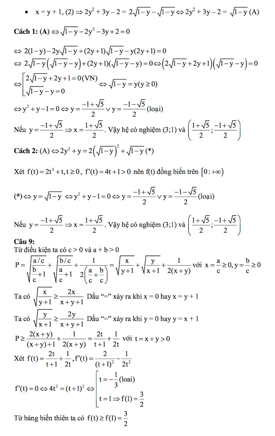
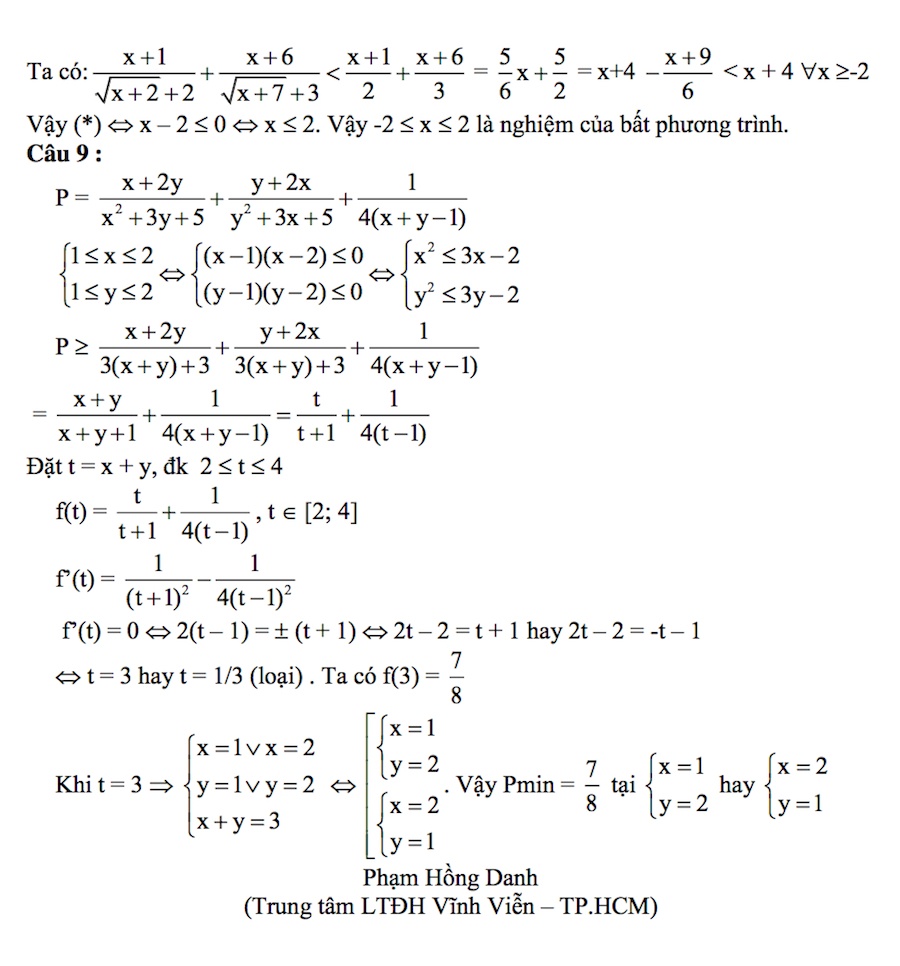
Thí sinh tham khảo thêm gợi ý đáp án môn Toán khối D do thầy Phạm Hồng Danh (Trung tâm LTĐH Vĩnh Viễn, TP.HCM) thực hiện:

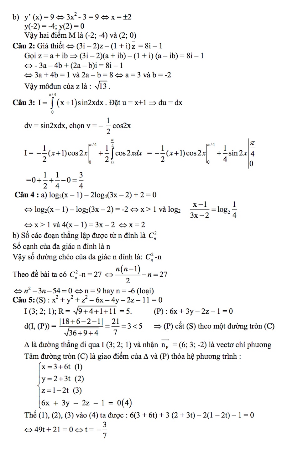
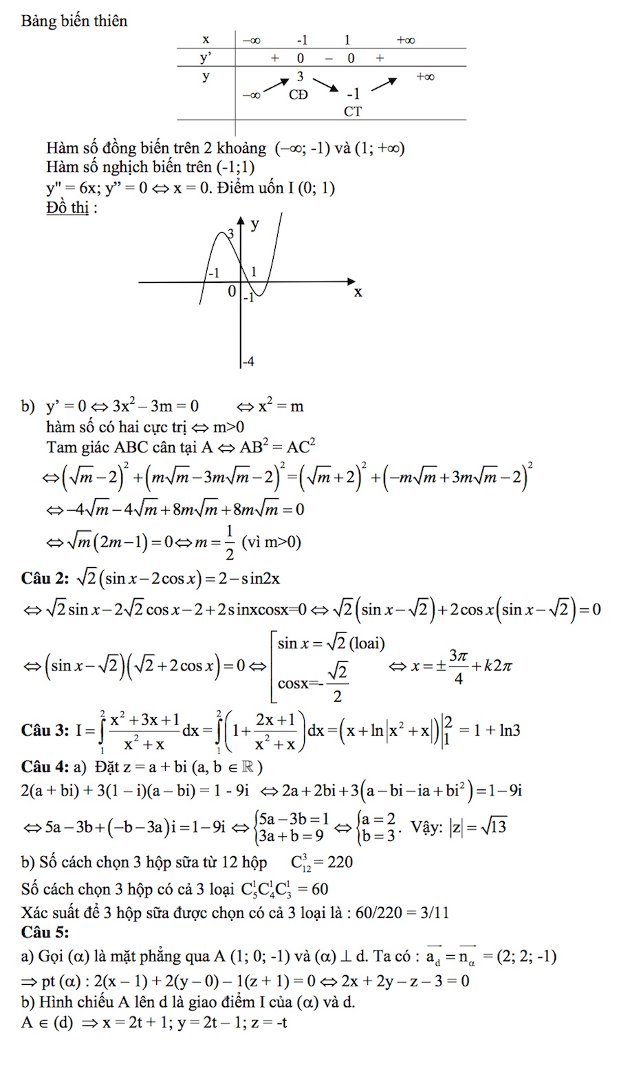
THÍ SINH CÓ THỂ TẢI FILE GỢI Ý ĐÁP ÁN MÔN TOÁN KHỐI B tại đây

Thí sinh tham khảo thêm gợi ý đáp án môn Toán khối B do thầy Phạm Hồng Danh (Trung tâm LTĐH Vĩnh Viễn, TP.HCM) thực hiện:

Đề Toán khối B:

Đề Toán khối D:

PV

Bạn có thể quan tâm