Môn Toán có thời gian làm bài 120 phút.
![]() |
| Đề thi môn Toán không chuyên. Ảnh: Minh Nhật.
|
Theo thí sinh Phạm Trần Anh Thư, đề thi môn Toán dài 5 câu, khá khó. Thí sinh này đoán mình chỉ được 5 điểm.
"Câu 1 và câu 5 khó, chỉ ai học chuyên mới giải được", thí sinh này nói.
Tương tự, Hoàng Anh (THCS Lê Văn Tám) cũng đánh giá câu hình học (câu 5) là câu khó nhất.
Đa số thí sinh đều nhận định đề thi không quá khó, chỉ có câu hình học làm đau đầu nhiều bạn.
Minh Phượng (THCS Lê Văn Tám) cho biết em đã bỏ câu hình học vì không đủ thời gian làm bài.
Trong khi đó, Hữu Trí (THCS Võ Trường Toản) chia sẻ: "So với các bạn cùng phòng em thấy mình làm khá tốt. Làm hết 5 câu em đoán mình được từ 7 đến 8 điểm".
Theo thầy Trần Hương Trà, giáo viên luyện thi môn Toán (TP.HCM) đề thi chính thức môn Toán không chuyên lại dễ hơn đề thi thử lần 2. Tuy nhiên, bài toán thực tế ở câu 4 sẽ làm khó nhiều thí sinh, còn lại các câu khác đều khá dễ. Thầy Trà dự đoán, với đề thi này, thí sinh sẽ dễ dàng đạt được điểm 8.
Tương tự, thầy Nguyễn Văn Hường, giáo viên dạy Toán trường THPT Ten-lơ-man (TP.HCM) dự đoán phổ điểm phổ biến sẽ nằm trong khoảng 6-8 điểm. Gợi ý giải đề môn Toán từ thầy Hường:
Câu 1: Đây là câu cơ bản. Học sinh chỉ cần thành thạo kỹ năng trục căn thức, rút gọn… tìm liên hệ giữa hai ẩn số x và y.
Câu 2: Về phương trình và hệ. Chỉ cần học sinh đặt nhân tử chung và rút thế.
Câu 3: Yêu cầu học sinh nắm vững định lý vi-et về tổng tích hai nghiệm. Tính x1, x2 bằng cách cộng đại số. Sau đó thế vào tích hai nghiệm là tìm được tham số m.
Câu 4: Là các dạng giải bài toán bằng cách lập phương trình, toán thực tế. Riêng câu 4a rất thú vị liên quan sự việc giải cứu dưa hấu mới xảy ra trước đó. Học sinh có thể đặt x là số sào ruộng của anh A rồi tính tổng giá trị thu về trừ tổng giá trị vốn bỏ ra là được một phương trình tìm x.
Câu 5. Học sinh phải thành thạo kiến thức về các tính chất của tam giác, tứ giác nội tiếp, bài toán quỹ tích… Để đạt được điểm số tối đa, học sinh phải làm được câu này.
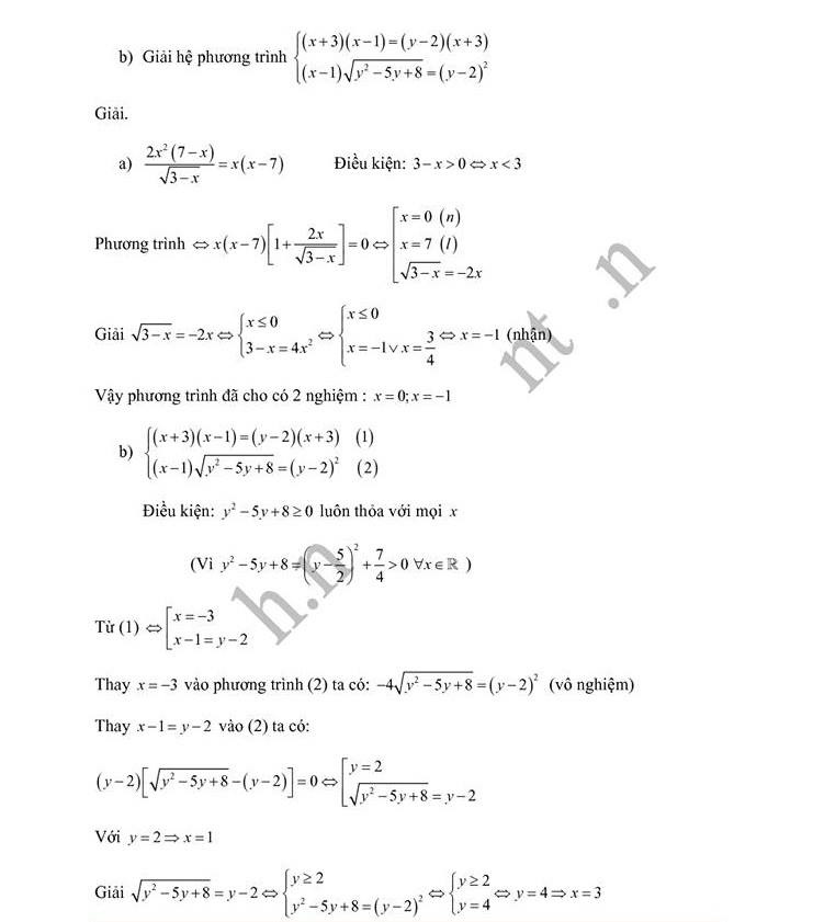
Sau đây là bài giải gợi ý của thầy Võ Tiến Trình, giáo viên môn Toán trường Phổ thông Năng khiếu:
![]() |
![]() |
![]() |
![]() |
![]() |
![]() |
![]() |
![]() |
| Lịch thi vào 10 trường Phổ thông Năng khiếu. |








