Bạn có thể chuyển sang phiên bản mobile rút gọn của Tri thức trực tuyến nếu mạng chậm. Đóng

Format-Lifestyle

Đề thi môn Toán tốt nghiệp THPT 2023

Chiều 28/6, thí sinh cả nước hoàn thành bài thi môn Toán. Đây là môn thi thứ 2 trong kỳ thi tốt nghiệp THPT năm 2023.

Thí sinh đã hoàn thành môn thi thứ 2 trong kỳ thi tốt nghiệp THPT 2023. Ảnh: Phương Lâm.

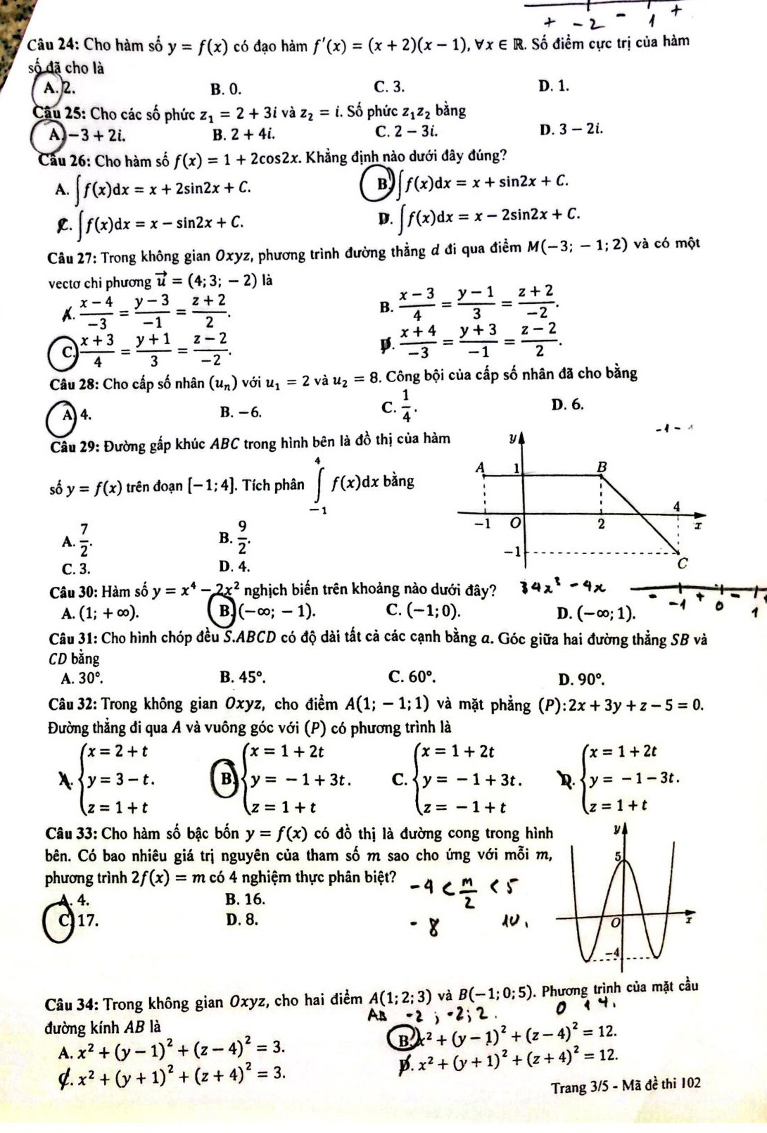
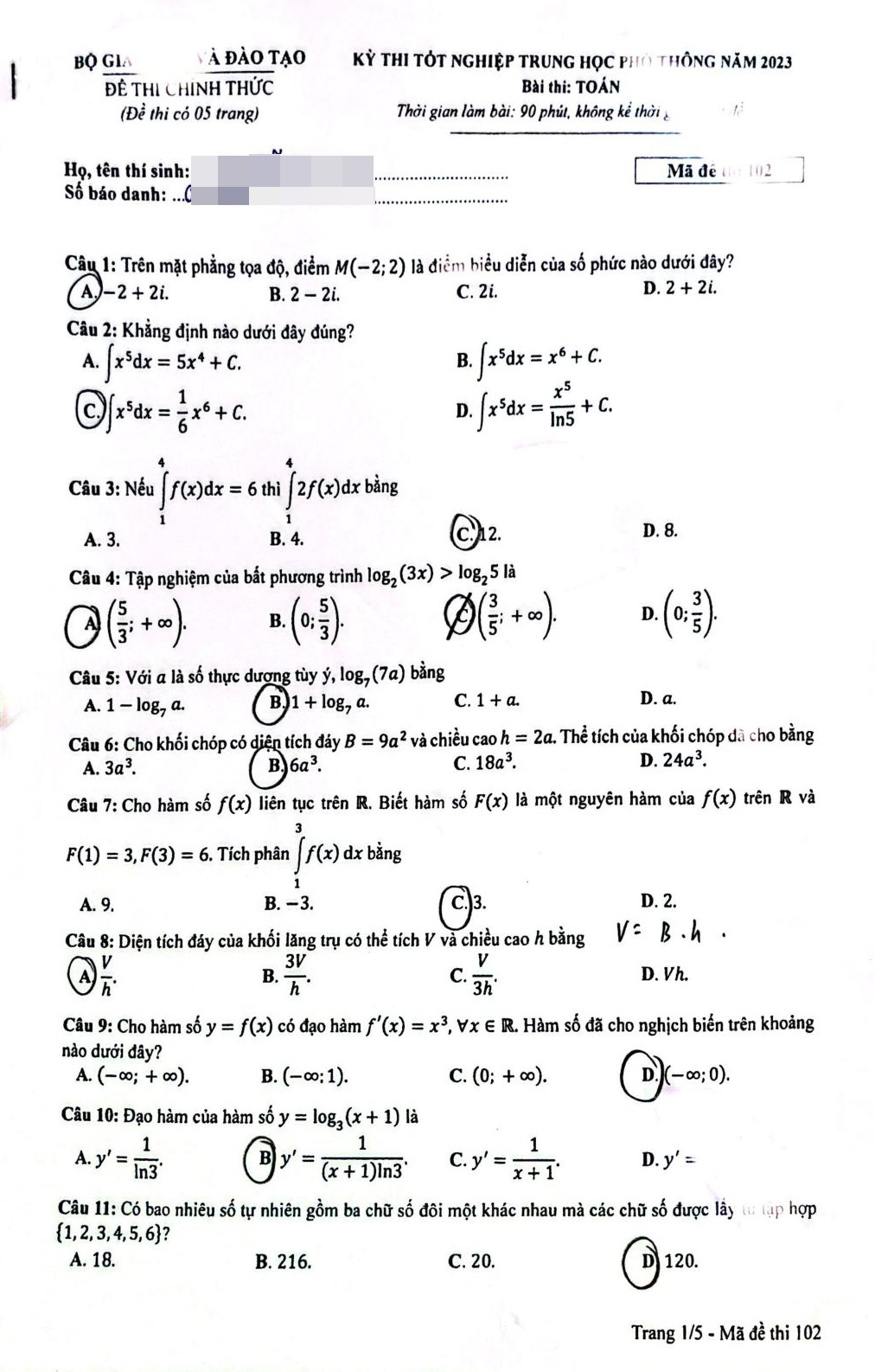
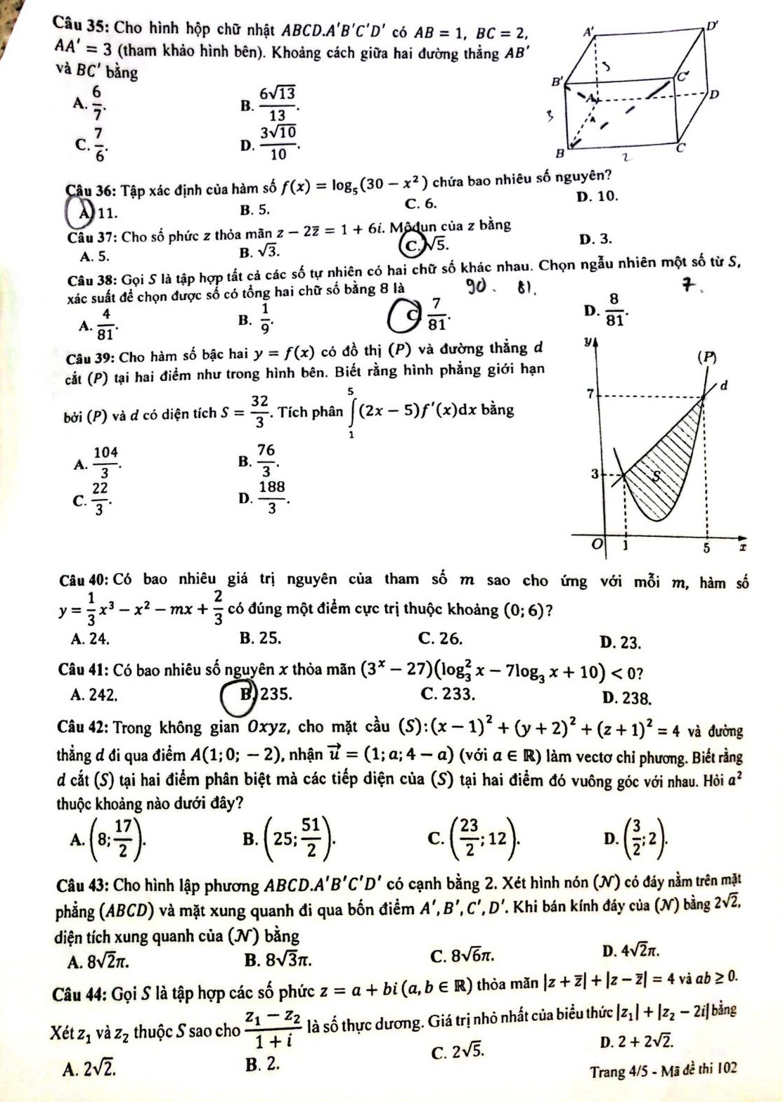
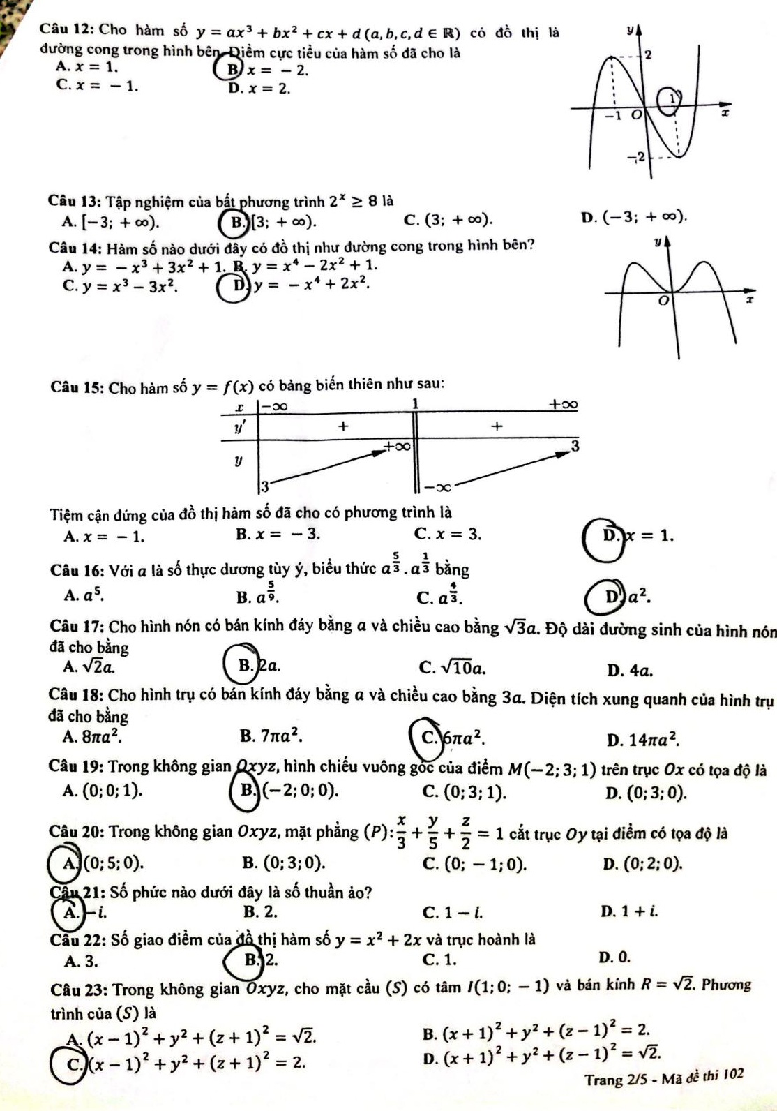
Mã đề 102:

(Phần khoanh đáp án trong bài do thí sinh làm, không phải đáp án. Độc giả xem đáp án tại đây)

de thi mon Toan anh 1
de thi mon Toan anh 2
de thi mon Toan anh 3
de thi mon Toan anh 4
de thi mon Toan anh 5

Thùy Trang, học sinh Trung tâm Giáo dục nghề nghiệp - Giáo dục thường xuyên quận 1 (TP.HCM), nhận xét đề Toán khá khó và có tính phân hóa cao. Do Toán không phải sở trường, Trang không làm được các câu 44-50 và đành phải “khoanh lụi”. Nữ sinh tự chấm mình làm được khoảng 5 điểm.

Thùy Trang, một học sinh khác của Trung tâm Giáo dục nghề nghiệp - Giáo dục thường xuyên quận 1, cũng nói rằng đề Toán khó, tính phân hóa cao với 5 câu cuối rất hóc búa. Nữ sinh mất khá nhiều thời gian để hoàn thành tất cả câu hỏi và dự đoán mình đạt 7-8 điểm.

Trong khi đó, Thu Hà, học sinh trường THPT Trần Hưng Đạo Thanh Xuân (Hà Nội), nhận xét đề Toán năm nay vừa sức, có sự phân hóa cao. Nữ sinh cho biết những câu đầu dễ ăn điểm, tuy nhiên, thí sinh có thể bị đánh lừa. Từ câu 37 trở đi, đề bắt đầu tăng độ khó. Ở 10 câu cuối, em chọn nhưng không chắc chắn.

Đây cũng là nhận định của Thanh Tuyền, học sinh Trung tâm giáo dục thường xuyên Lê Quý Đôn (TP.HCM). Nữ sinh đánh giá đề thi phân hóa rất tốt, những câu dễ rất dễ, 5 câu khó cuối cùng lại khiến học sinh bối rối vì dễ bị đánh lừa. Nữ sinh tự tin làm tốt những câu đầu tiên. Riêng 5 câu cuối, em đành “khoanh lụi” vì khó quá, không làm được.

Tương tự, Đỗ Quốc Huy, học sinh Trường THPT Trần Hưng Đạo (Hà Nội), cho rằng đề thi môn Toán năm nay tương đối dễ nhưng vẫn đảm bảo tính phân loại với 5 câu cuối khó. Nam sinh hoàn thành 40 câu đầu trong 25 phút và dự kiến đạt tối thiểu 7 điểm.

Nhận xét đề thi Toán năm nay, thầy Lê Văn Cường, giáo viên trường THCS - THPT Lương Thế Vinh (Hà Nội, nhận định cấu trúc đề tương tự đề thi minh họa. Từ câu 1 đến câu 38, đề thi ở mức cơ bản, học sinh khá có thể làm tốt. Từ câu 39 đến câu 50 là những câu vận dụng và vận dụng cao.

Theo thầy Cường, mức điểm trung bình thí sinh có thể đạt được là 6,4-6,5. Số lượng học sinh đạt trên 8 điểm khoảng 20%. "Rất khó để thi sinh đạt điểm 10", thầy Cường nhận định.

Năm 2023, cả nước có 1.024.063 thí sinh đăng ký dự thi tốt nghiệp THPT 2023. Ngày 29/6, buổi sáng, thí sinh làm bài thi tổ hợp môn Khoa học tự nhiên hoặc Khoa học xã hội, buổi chiều thi môn Ngoại ngữ.

Với bài thi môn tổ hợp, thí sinh có thể chọn tổ hợp Khoa học tự nhiên (Vật lý, Hóa học, Sinh học) hoặc Khoa học xã hội (Lịch sử, Địa Lý, Giáo dục Công dân). Thời gian làm bài mỗi môn là 50 phút cho 40 câu trắc nghiệm.

Những cuốn sách dành cho người đứng trước cánh cửa nghề nghiệp

Mục Giáo dục giới thiệu đến bạn đọc một số cuốn sách về chủ đề nghề nghiệp, hướng nghiệp, dành cho những bạn trẻ đang băn khoăn trước cánh cửa nghề nghiệp hay người trưởng thành quan tâm đến sự biến đổi nghề nghiệp trong xã hội hiện đại.

Nhóm PV

Bạn có thể quan tâm