Bạn có thể chuyển sang phiên bản mobile rút gọn của Tri thức trực tuyến nếu mạng chậm. Đóng

Đáp án các môn chuyên vào lớp 10 ở TP.HCM

Chiều 19/7, Sở GD&ĐT TP.HCM công bố đề và đáp án các môn thi chuyên vào lớp 10.

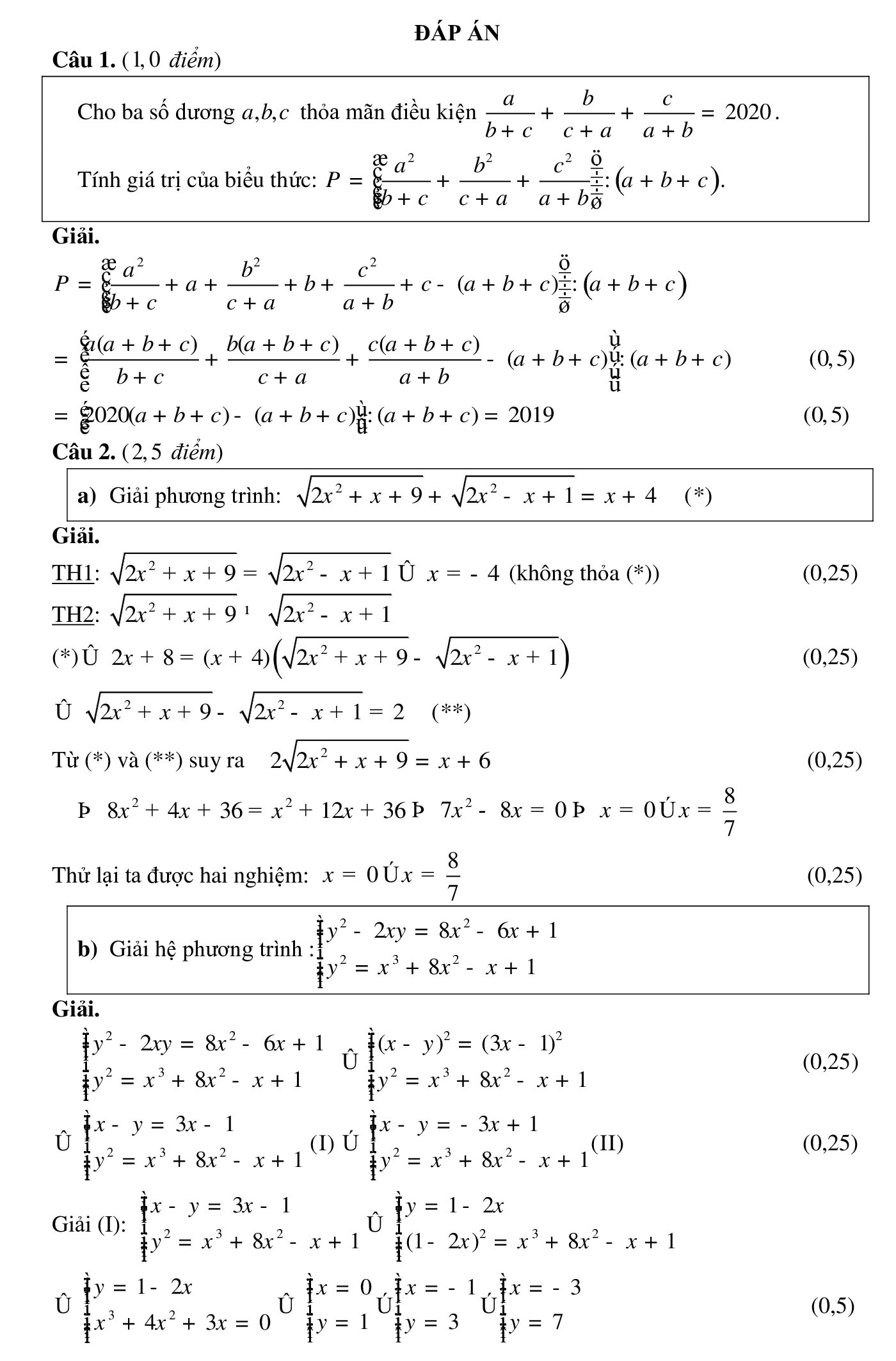
Đáp án môn Toán chuyên:

dap an chinh thuc de chuyen anh 1
dap an chinh thuc de chuyen anh 2
dap an chinh thuc de chuyen anh 3
dap an chinh thuc de chuyen anh 4

Đáp án môn Hóa học chuyên:

dap an chinh thuc de chuyen anh 5
dap an chinh thuc de chuyen anh 6

dap an chinh thuc de chuyen anh 7
dap an chinh thuc de chuyen anh 8
dap an chinh thuc de chuyen anh 9
dap an chinh thuc de chuyen anh 10

Đáp án môn Vật lý chuyên:

dap an chinh thuc de chuyen anh 11
dap an chinh thuc de chuyen anh 12

Đáp án môn Văn chuyên:

dap an chinh thuc de chuyen anh 13
dap an chinh thuc de chuyen anh 14
dap an chinh thuc de chuyen anh 15

Đáp án môn Lịch sử chuyên:

dap an chinh thuc de chuyen anh 16
dap an chinh thuc de chuyen anh 17
dap an chinh thuc de chuyen anh 18

Đáp án môn Địa lý chuyên:

dap an chinh thuc de chuyen anh 19
dap an chinh thuc de chuyen anh 20
dap an chinh thuc de chuyen anh 21
dap an chinh thuc de chuyen anh 22

Đáp án môn Tiếng Anh chuyên:

dap an chinh thuc de chuyen anh 23
dap an chinh thuc de chuyen anh 24

Sở GD&ĐT TP.HCM công bố đáp án các môn thi vào lớp 10

Chiều 19/7, Sở GD&ĐT TP.HCM công bố đáp án cho các môn thi vào lớp 10. Dự kiến, ngày 27/7, Sở GD&ĐT TP.HCM công bố điểm thi của thí sinh.

Minh Nhật

Bạn có thể quan tâm