Bạn có thể chuyển sang phiên bản mobile rút gọn của Tri thức trực tuyến nếu mạng chậm. Đóng

Còn hàng chục nghìn chỉ tiêu xét tuyển đại học đợt 2

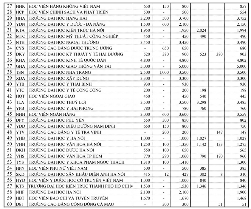
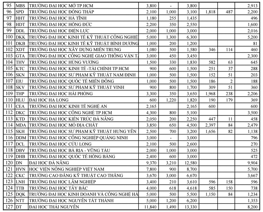
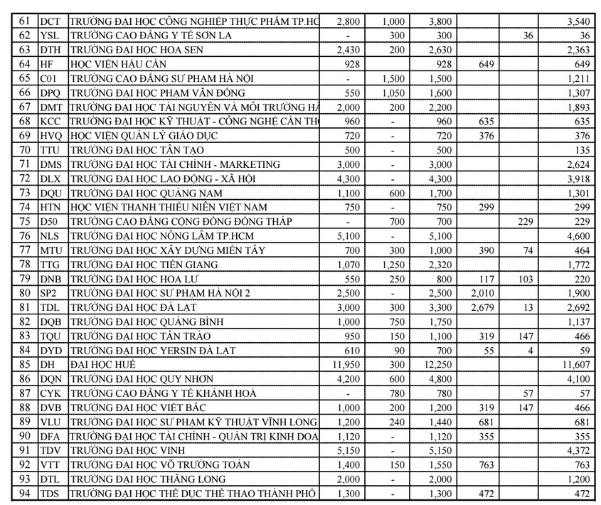
Theo thống kê của Bộ GD&ĐT, các trường top đầu như Đại học Bách khoa, Y, Kinh tế Quốc dân đã tuyển đủ chỉ tiêu. Tuy nhiên, nhiều trường vẫn còn hàng chục nghìn chỉ tiêu cho đợt 2.

Theo thống kê của Bộ GD&ĐT đến 17h 25/8, 41 trường đại học đã tuyển đủ chỉ tiêu ngay trong đợt xét tuyển đầu tiên. 38 trường chưa tuyển đủ sinh viên, sẽ xét tuyển đợt 2. 

Bộ GD&ĐT cho biết, đây là thống kê chưa đầy đủ, còn 88 trường đã gửi báo cáo tổng chỉ tiêu đã xét tuyển nhưng chưa tách số liệu đại học và cao đẳng. 

Các trường đã tuyển đủ chỉ tiêu

Các trường còn thiếu chỉ tiêu tuyển sinh

Tình hình tuyển sinh đại học, cao đẳng đợt 1

Các trường công bố điểm chuẩn, cao nhất 28 điểm

Hôm nay là hạn cuối cùng các trường công bố điểm trúng tuyển nguyện vọng 1. Đến tối 25/8, 105 trường cập nhật điểm chuẩn đại học 2015.



Quyên Quyên

Bạn có thể quan tâm