![]() |
Câu 1. Vua nào dùng hổ dữ, vạc dầu để xử phạt kẻ phạm tội?
Dưới thời vua Đinh Tiên Hoàng, để trị vì đất nước, răn đe những kẻ phạm tội, nhà vua cho nuôi hổ dữ, nấu vạc dầu trước sân đình để xử phạt những kẻ phạm trọng tội, bị tử hình. |
![]() |
Câu 2. Bộ Luật thành văn đầu tiên của nước ta ra đời dưới triều đại nào?
Dù đất nước ta chính thức giành độc lập vào năm 938, sau chiến thắng Bạch Đằng của Ngô Quyền, phải đến thời nhà Lý, bộ luật thành văn đầu tiên mới được ban hành vào năm 1042. |
![]() |
Câu 3. Bộ luật thành văn đầu tiên của nước ta tên là gì?
Bộ luật đầu tiên của nước ta có tên là luật Hình Thư (Quốc triều hình luật). Dưới thời Lý Thái Tông, nhà vua sai trung thư sảnh định luật lệ, chấn chỉnh cho thích ứng với thời thế, chia ra môn loại, biến thành điều khoản, thành sách của một triều đại. |
![]() |
Câu 4. Bộ Quốc triều hình luật của nhà Trần được ban hành dưới thời vua nào?
Trên cơ sở pháp luật ra đời thời Lý, năm 1230, vua Trần Thái Tông ban hành bộ Quốc triều thông chế gồm 20 quyển, quy định về tổ chức chính quyền. Sau đó, qua vài lần sửa chữa bổ sung, nhà Trần lại ban hành bộ Quốc triều hình luật (Hình Luật). |
![]() |
Câu 5. Luật Hồng Đức do vua nào ban hành?
Luật Hồng Đức (Quốc triều hình luật) rất nổi tiếng và tương đối đầy đủ của nước ta, được hanh hành dưới thời vua Lê Thánh Tông với niên hiệu Hồng Đức (1470-1497) nhà Hậu Lê. |
![]() |
Câu 6. Luật nào quy định kẻ ăn trộm bị chặt hết ngón chân, tay?
Theo quy định của Luật Hình Thư thời Lý, người phạm tội ăn trộm sẽ bị chặt hết ngón chân, ngón tay. Năm 1043, Lý Thái Tông đặt thêm quy định: Ai trộm lúa của dân sẽ bị đánh 100 trượng; nếu không lấy được mà làm bị thương người khác sẽ bị tội lưu. Quân lính lấy của cải của dân sẽ bị đánh 100 trượng và thích 30 chữ. |
![]() |
Câu 7. Ai là người đầu tiên đưa quy định “cấm giết mổ trộm trâu bò” vào luật?
Nguyên phi Ỷ Lan chính là người đầu tiên đề xuất đưa quy định “cấm giết mổ trộm trâu bò” vào Luật Hình Thư vào năm 1117. Quy định này về sau tiếp tục được áp dụng trong bộ Hình Luật của nhà Trần. |
![]() |
Câu 8. Bộ Luật nào có từ thời phong kiến còn lưu giữ được nguyên vẹn nội dung đến nay?
Trong số các bộ luật ra đời thời phong kiến, Luật Hồng Đức ra đời thời Hậu Lê còn lưu giữ được nội dung nguyên vẹn đến ngày nay, bao gồm 722 điều. |
![]() |
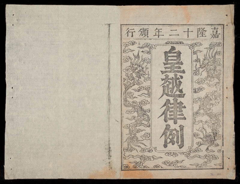
Câu 9. Thời phong kiến nước ta có tất cả bao nhiêu bộ luật được các triều đại phong kiến ban hành?
Thời kỳ phong kiến nước ta có 4 bộ luật thành văn, Hình thư của nhà Lý, Hình luật của nhà Trần, Quốc triều hình luật của nhà Lê và Hoàng việt Luật lệ của nhà Nguyễn. |








