Chiều 6/7, Bộ GD&ĐT phát đi thông cáo về đề thi Vật lý gây tranh cãi. Theo đó, sau khi Bộ GD&ĐT công bố đáp án các môn (4/7), Tổ ra đề thi môn Vật lý nhận được ý kiến về câu 44 mã đề thi 274 và câu 47 mã đề thi 274.
Theo giải trình của Tổ ra đề, Câu 47 mã đề thi 274 (tương ứng với câu 47 mã 138; câu 46 mã 426; câu 48 mã 841; câu 44 mã 682, câu 41 mã 935), nội dung câu hỏi và phương án trả lời không có gì sai sót.
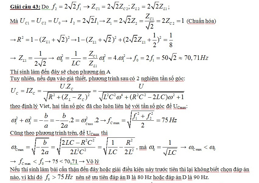
Câu 44 mã đề thi 274 (tương ứng câu 43 mã 138; câu 50 mã 426; câu 41 mã 841; câu 43 mã 682, câu 43 mã 935) là một dạng bài tập về dòng điện xoay chiều quen thuộc. Khi học sinh và giáo viên giải câu này (trên các báo viết, trên truyền hình, trên một số báo mạng…) đều nhận được kết quả fo = 70,7 Hz.
Tổ ra đề khi chọn câu hỏi này để đưa vào đề thi đã giải theo các cách phổ biến, thường được dùng ở trường THPT và cũng đã nhận được kết quả như đã cho trong đáp án (fo = 70,7 Hz). Tuy nhiên, nếu suy xét toàn diện hơn, thì các dữ kiện của câu hỏi thi này đúng về mặt Toán học mà chưa đủ ý nghĩa Vật lý.
Bộ GD&ĐT cho biết, để bảo đảm quyền lợi của thí sinh, trên cơ sở đề xuất của Hội đồng ra đề thi, Ban chỉ đạo thi THPT quốc gia 2015 quyết định giữ nguyên đáp án và hướng dẫn chấm môn Vật lý; riêng đối với câu 44 mã đề thi 274 (tương ứng câu 43 mã đề thi 138, câu 50 mã đề thi 426, câu 41 mã đề thi 841, câu 43 mã đề thi 682, câu 43 mã đề thi 935), tất cả các thí sinh đều được 0,2 điểm; thang điểm các câu còn lại không thay đổi, điểm tối đa toàn bài thi môn Vật lý vẫn là 10 điểm.
Tranh luận
Trước đó, ngày 5/7, ngay sau khi Bộ GD&ĐT công bố đáp án chính thức các môn thi THPT, nhiều ý kiến trái chiều xoay quanh chuyện: Đề bài câu điện xoay chiều trong đề thi môn Vật lý có sai sót?
Nhiều thầy cô giáo, học sinh, những thành viên quan tâm đến Vật lý trên các diễn đàn Thư viện Vật lý, Facebook Bí quyết luyện thi đại học Vật lý… đặt ra nghi vấn dữ kiện đề bài của f1, f2 bị sai? Theo đáp án chính thức của Bộ GD&ĐT, kết quả cần tìm là 70 Hz (đáp án A - phần khoanh đỏ phía trên). Tuy nhiên, khi đối chiếu với điều kiện f1, f2 thì kết quả này không thỏa mãn yêu cầu đề bài.
Một thầy giáo dạy Vật lý tại trường cấp ba nổi tiếng Hà Nội đưa ra lời giải để phân tích đề bài sai như sau:
![]() |
Đề thi môn Vật lý mã đề 138
Đáp án môn Vật lý mã đề 138
