Bạn có thể chuyển sang phiên bản mobile rút gọn của Tri thức trực tuyến nếu mạng chậm. Đóng

Bài giải đề Toán chuyên vào lớp 10 trường Khoa học Tự nhiên

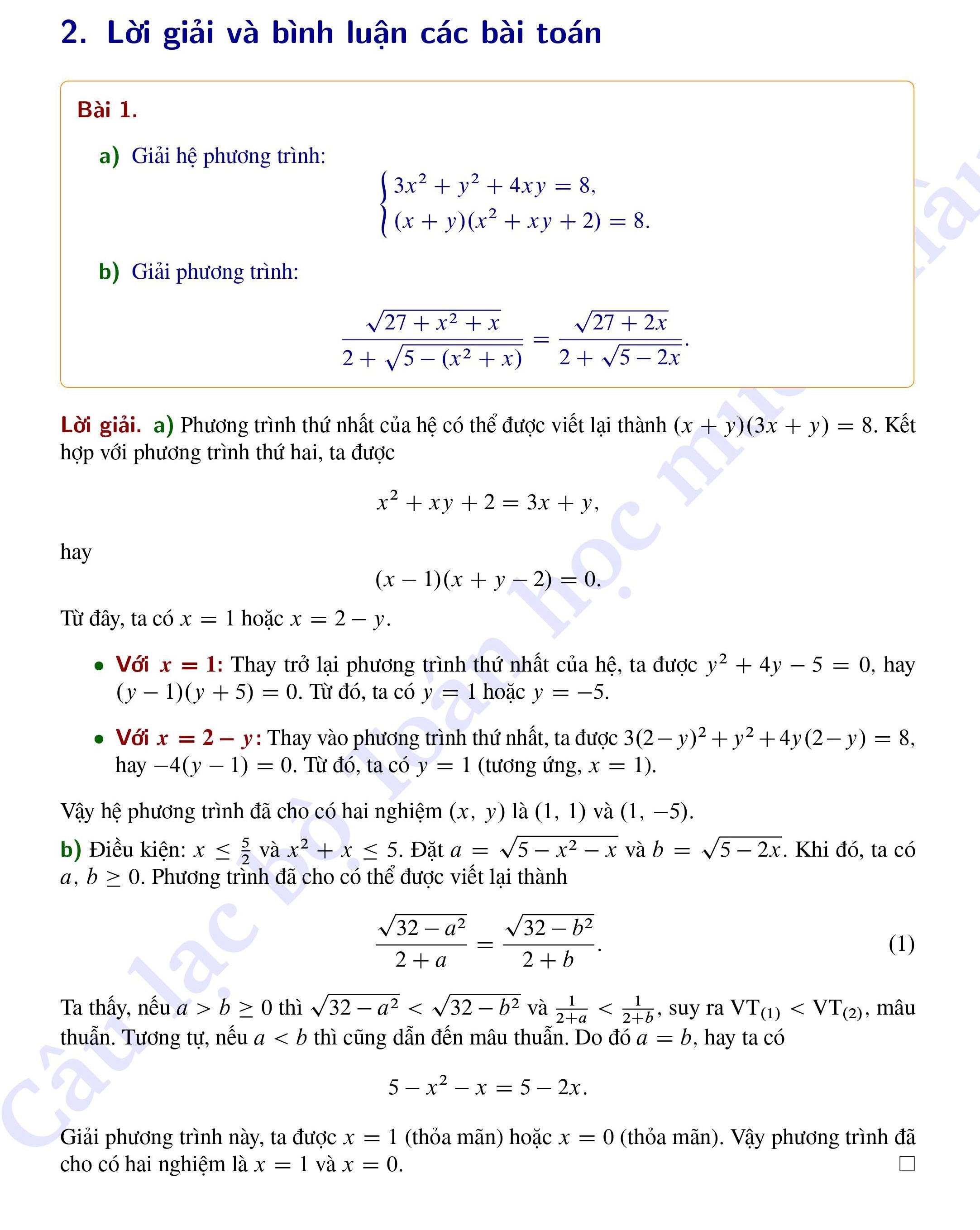
Lời giải đề thi vào lớp chuyên Toán và chuyên Tin, ĐH Khoa học Tự nhiên, ĐH Quốc gia Hà Nội, do TS Trần Nam Dũng và thầy giáo Võ Quốc Bá Cẩn thực hiện.

dai hoc khoa hoc tu nhien anh 1
dai hoc khoa hoc tu nhien anh 2
dai hoc khoa hoc tu nhien anh 3
dai hoc khoa hoc tu nhien anh 4
dai hoc khoa hoc tu nhien anh 5
dai hoc khoa hoc tu nhien anh 6
dai hoc khoa hoc tu nhien anh 7

Đề thi Toán chuyên vào lớp 10 trường Phổ thông Năng khiếu có sai sót

Hết một nửa thời gian làm bài thi Toán chuyên vào lớp 10 trường Phổ thông Năng khiếu (ĐH Quốc gia TP.HCM), các giám thị mới thông báo thí sinh sửa đề thi.












Bình Nguyên

Bạn có thể quan tâm