Bạn có thể chuyển sang phiên bản mobile rút gọn của Tri thức trực tuyến nếu mạng chậm. Đóng

Bài giải đề thi môn Toán vào lớp 10 ở Hà Nội

Đề thi môn Toán vào lớp 10 ở Hà Nội năm nay được đánh giá vừa sức thí sinh.

Giáo viên tại Hệ thống Giáo dục HOCMAI gợi ý giải đề môn Toán như sau:

de mon toan vao lop 10 o ha noi anh 1
de mon toan vao lop 10 o ha noi anh 2
de mon toan vao lop 10 o ha noi anh 3
de mon toan vao lop 10 o ha noi anh 4
de mon toan vao lop 10 o ha noi anh 5
de mon toan vao lop 10 o ha noi anh 6
de mon toan vao lop 10 o ha noi anh 7

Sáng 3/6, thí sinh dự thi vào lớp 10 công lập ở Hà Nội sẽ thi môn Ngoại ngữ và Lịch sử. Thời gian làm bài mỗi môn là 60 phút.

Năm nay, 85.873 thí sinh đăng ký dự thi vào lớp 10 công lập ở Hà Nội, kể cả tuyển thẳng. Tổng nguyện vọng 1 và 2 đăng ký dự tuyển vào các trường là 167.678.

Tổng chỉ tiêu tuyển sinh vào các trường công lập là 63.090, khoảng 62%. Như vậy, khoảng 23.000 học sinh sẽ phải tìm hướng đi khác, có thể vào trường tư thục, trung tâm giáo dục thường xuyên hoặc học nghề.

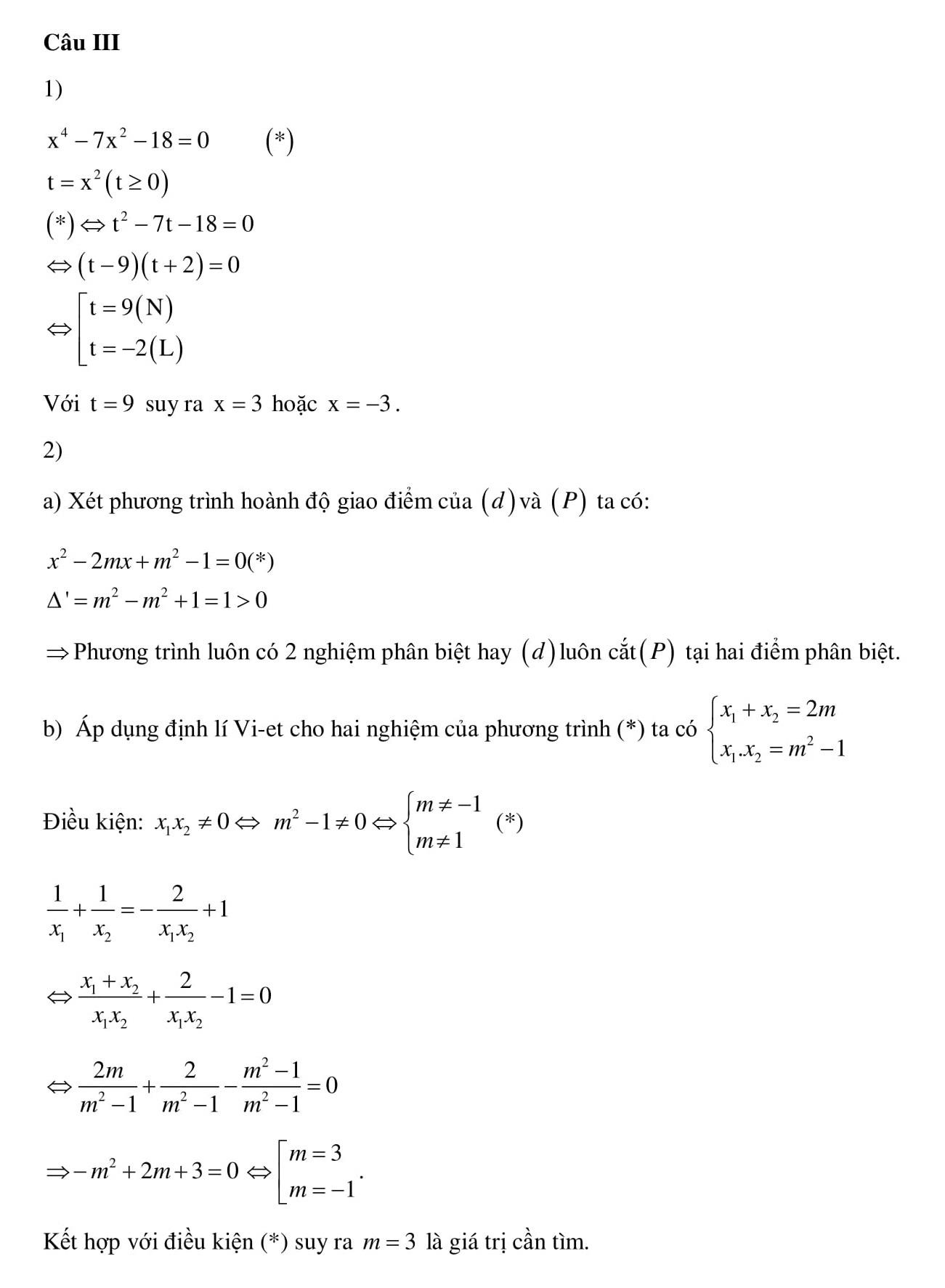
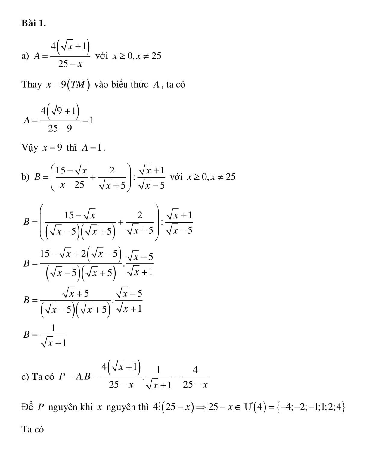
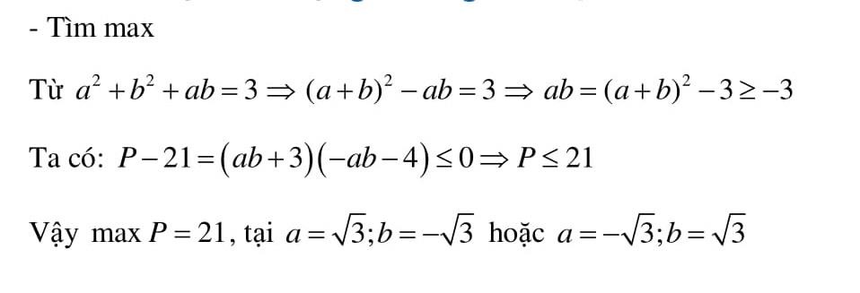
Đề thi Toán vào lớp 10 ở Hà Nội có câu hỏi khó

Chiều 2/6, thí sinh dự thi vào lớp 10 công lập ở Hà Nội hoàn thành bài môn Toán. Nhiều thí sinh cho biết đề thi có một câu hình và câu cuối cùng (0,5 điểm) khó.


Nguyễn Sương

Bạn có thể quan tâm