Bạn có thể chuyển sang phiên bản mobile rút gọn của Tri thức trực tuyến nếu mạng chậm. Đóng

Bài giải đề thi môn Toán vào lớp 10 ở Hà Nội

Bài giải đề thi môn Toán của kỳ tuyển sinh vào lớp 10 ở Hà Nội do nhóm giáo viên Hocmai.vn thực hiện.

Đề thi môn Toán:

bai giai de thi mon Toan anh 1

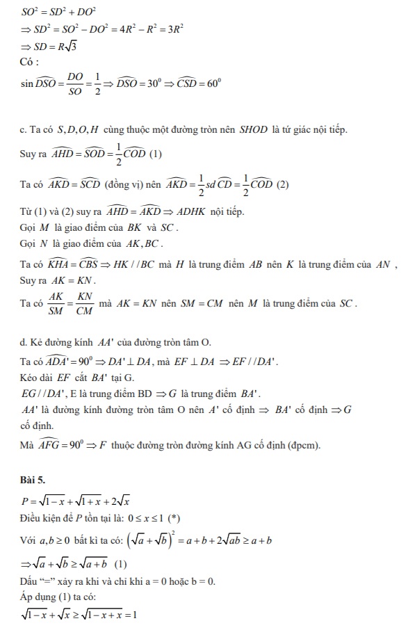
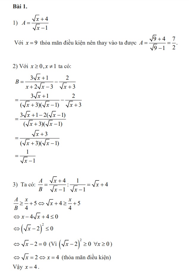
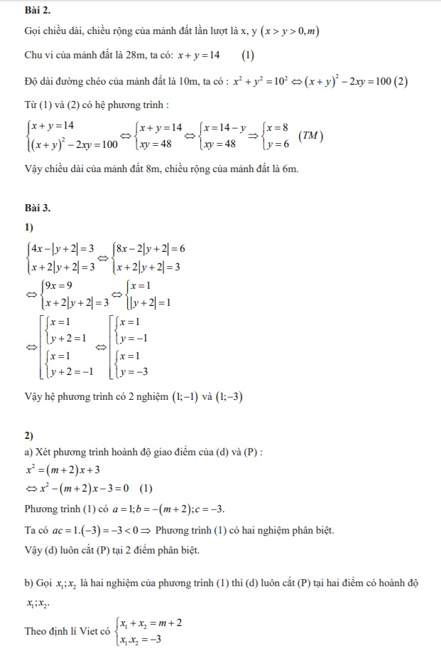
Gợi ý bài giải:

bai giai de thi mon Toan anh 2
bai giai de thi mon Toan anh 3
bai giai de thi mon Toan anh 4
bai giai de thi mon Toan anh 5
bai giai de thi mon Toan anh 6

Lịch thi vào lớp 10 ở Hà Nội:

bai giai de thi mon Toan anh 7
Phó giám đốc Sở GD&ĐT Hà Nội nói về lọt đề thi Ngữ văn ra ngoài Ông Lê Ngọc Quang cho biết đề thi Ngữ văn sáng 7/6 lọt ra ngoài sau khoảng một nửa thời gian thí sinh làm bài.

Đề thi Ngữ văn vào lớp 10 lọt ra ngoài sau một tiếng làm bài

Phòng quản lý thi và Thanh tra Sở GD&ĐT Hà Nội đang xác minh thông tin đề Ngữ văn vào lớp 10 sáng 7/6 được lan truyền trên mạng sau khi thí sinh làm bài 60 phút.








Nguyễn Sương

Bạn có thể quan tâm