Bạn có thể chuyển sang phiên bản mobile rút gọn của Tri thức trực tuyến nếu mạng chậm. Đóng

227 thí sinh trúng tuyển thẳng vào Đại học Bách khoa Hà Nội

Năm 2017, ĐH Bách khoa Hà Nội tuyển thẳng 227 thí sinh đoạt giải học sinh giỏi quốc gia, giải khoa học kỹ thuật quốc gia và thí sinh khuyết tật nặng.

Trong đó, 172 thí sinh là học sinh giỏi quốc gia được tuyển thẳng vào trường. Danh sách cụ thể như sau:

DH bach khoa Ha noi tuyen thang anh 1
DH bach khoa Ha noi tuyen thang anh 2
DH bach khoa Ha noi tuyen thang anh 3
DH bach khoa Ha noi tuyen thang anh 4
DH bach khoa Ha noi tuyen thang anh 5
DH bach khoa Ha noi tuyen thang anh 6
DH bach khoa Ha noi tuyen thang anh 7
DH bach khoa Ha noi tuyen thang anh 8
DH bach khoa Ha noi tuyen thang anh 9
DH bach khoa Ha noi tuyen thang anh 10
DH bach khoa Ha noi tuyen thang anh 11
DH bach khoa Ha noi tuyen thang anh 12
DH bach khoa Ha noi tuyen thang anh 13
DH bach khoa Ha noi tuyen thang anh 14

Thí sinh trúng tuyển thẳng diện đoạt giải khoa học kỹ thuật quốc gia năm 2017 có 54 em:

DH bach khoa Ha noi tuyen thang anh 15
DH bach khoa Ha noi tuyen thang anh 16
DH bach khoa Ha noi tuyen thang anh 17
DH bach khoa Ha noi tuyen thang anh 18
DH bach khoa Ha noi tuyen thang anh 19
DH bach khoa Ha noi tuyen thang anh 20
DH bach khoa Ha noi tuyen thang anh 21

Ngoài ra, Đinh Phương Nam ở Nam Định được tuyển thẳng vào ngành Công nghệ thông tin ICT theo diện khuyết tật đặc biệt.

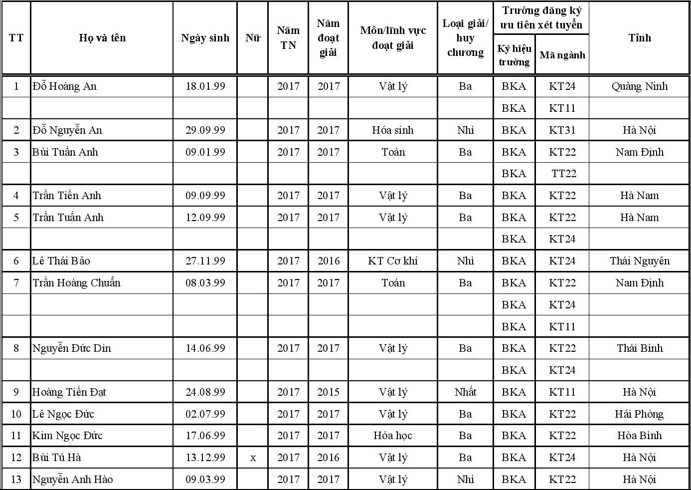
ĐH Bách khoa Hà Nội cũng công bố danh sách thí sinh thuộc diện ưu tiên xét tuyển:

DH bach khoa Ha noi tuyen thang anh 22
DH bach khoa Ha noi tuyen thang anh 23
DH bach khoa Ha noi tuyen thang anh 24
DH bach khoa Ha noi tuyen thang anh 25

Thí sinh nộp hồ sơ xác nhận nhập học trước 17h ngày 19/7 tại phòng Đào tạo Đại học.

Hồ sơ bao gồm bản chính giấy chứng nhận đoạt giải kỳ thi HSG quốc gia THPT hoặc bản chính giấy chứng nhận đoạt giải Cuộc thi Khoa học kỹ thuật quốc gia và bản chính giấy chứng nhận kết quả thi THPT quốc gia 2017.

Đối với thí sinh xét tuyển thông thường, ĐH Bách khoa Hà Nội quy định 4 mức điểm nhận hồ sơ cho các nhóm ngành. Trong đó, điểm sàn thấp nhất là 20 và cao nhất là từ 24 điểm. Điểm sàn cho từng ngành/nhóm ngành như sau:

DH bach khoa Ha noi tuyen thang anh 26

Trước đó, ông Trần Văn Tớp - phó hiệu trưởng ĐH Bách khoa - cho biết trường quan tâm đến những thí sinh đạt từ điểm 7 trở lên. Nhưng số lượng thí sinh đạt mức điểm này tương đối lớn.

Trường đang xem xét việc bổ sung 2 tiêu chí phụ khi tuyển sinh. Các năm trước trường chỉ có một tiêu chí phụ là lấy điểm môn Toán từ cao xuống, nếu đủ sẽ dừng lại.

Năm nay, môn Toán nhân hệ số 2. Tiêu chí phụ thứ nhất là tổng điểm của 3 môn (không cộng điểm ưu tiên khu vực và các cuộc thi, kỳ thi học sinh giỏi), sẽ công bằng hơn cho thí sinh. Tiêu chí phụ thứ hai là nguyện vọng nào cao hơn sẽ được ưu tiên.

Ví dụ, 2 thí sinh có điểm bằng nhau, em đăng ký nguyện vọng 2 vào ĐH Bách Khoa Hà Nội sẽ được ưu tiên so với bạn có nguyện vọng 3.

Như vậy, tiêu chí phụ không ảnh hưởng tới những thí sinh có điểm thi cao hơn điểm trúng tuyển.

Thí sinh xem điểm chuẩn 2016 và chỉ tiêu tuyển sinh 2017 của ĐH Bách khoa Hà Nội tại đây.

Học sinh nói gì về 'mưa điểm 10' Theo nhiều học sinh, "mưa điểm 10" khiến các em lo lắng về việc xét tuyển vào đại học.

68 thí sinh đầu tiên trúng tuyển ĐH Ngoại thương năm 2017

ĐH Ngoại thương vừa công bố danh sách 68 thí sinh trúng tuyển diện tuyển thẳng và 123 thí sinh được ưu tiên xét tuyển.

Nguyễn Sương

Bạn có thể quan tâm